Постановление Правительства Тульской области от 11.11.2016 № 515
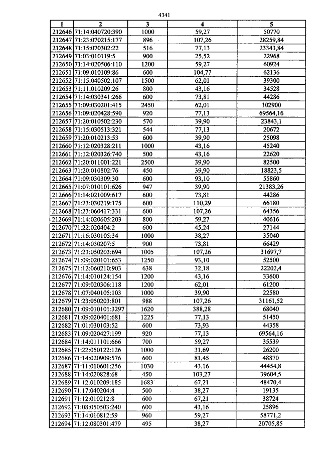
"Об утверждении результатов определения кадастровой стоимости земель сельскохозяйственного назначения Тульской области"
"Об утверждении результатов определения кадастровой стоимости земель сельскохозяйственного назначения Тульской области"
Номер опубликования: 7100201611160009
Дата опубликования:
16.11.2016
