Официальное опубликование правовых актов
ОФИЦИАЛЬНОЕ ОПУБЛИКОВАНИЕ
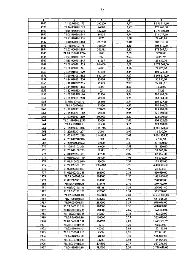
Постановление Правительства Тульской области от 11.11.2016 № 515
"Об утверждении результатов определения кадастровой стоимости земель сельскохозяйственного назначения Тульской области"
Номер опубликования: 7100201611160009
Дата опубликования: 16.11.2016
Страница №35 из 5216:
Увеличить