Официальное опубликование правовых актов
ОФИЦИАЛЬНОЕ ОПУБЛИКОВАНИЕ
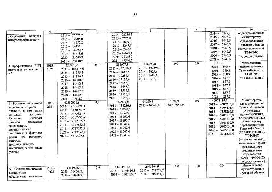
Постановление Правительства Тульской области от 03.11.2016 № 497
"О внесении изменений в постановление правительства Тульской области от 20.08.2013 № 429 "Об утверждении государственной программы Тульской области "Развитие здравоохранения Тульской области"
Номер опубликования: 7100201611080003
Дата опубликования: 08.11.2016
Страница №56 из 276:
Увеличить