Официальное опубликование правовых актов
ОФИЦИАЛЬНОЕ ОПУБЛИКОВАНИЕ
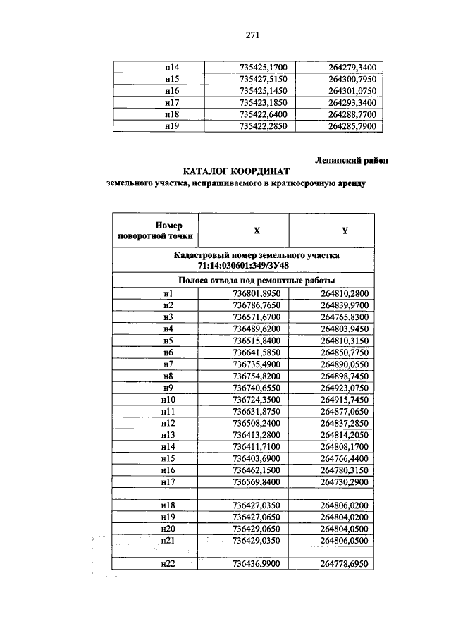
Постановление Правительства Тульской области от 01.11.2016 № 491
"Об утверждении проекта планировки и проекта межевания территории линейного объекта "Реконструкция ГРС Новотульская"
Номер опубликования: 7100201611030004
Дата опубликования: 03.11.2016
Страница №272 из 330:
Увеличить