Официальное опубликование правовых актов
ОФИЦИАЛЬНОЕ ОПУБЛИКОВАНИЕ
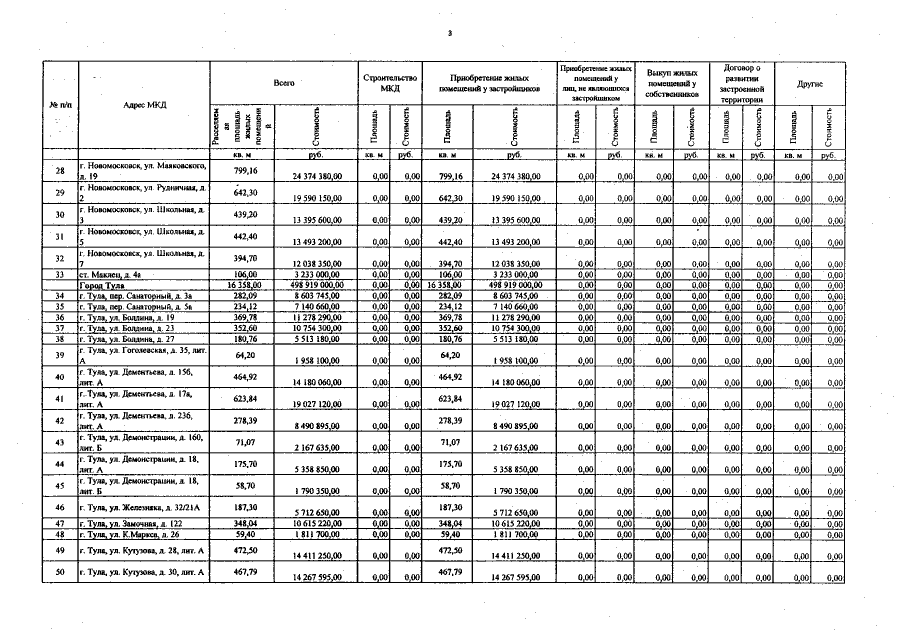
Постановление Правительства Тульской области от 23.09.2016 № 428
"О внесении изменений в постановление правительства Тульской области от 19.11.2013 № 660"
Номер опубликования: 7100201609290001
Дата опубликования: 29.09.2016
Страница №147 из 192:
Увеличить