Официальное опубликование правовых актов
ОФИЦИАЛЬНОЕ ОПУБЛИКОВАНИЕ
Постановление Правительства Тульской области от 26.07.2016 № 343
"О внесении изменений в постановление правительства Тульской области от 19.11.2013 № 660"
Номер опубликования: 7100201608010005
Дата опубликования: 01.08.2016
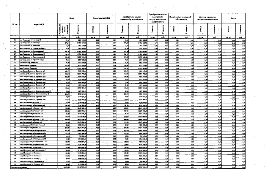
Страница №48 из 114:
Увеличить