Официальное опубликование правовых актов
ОФИЦИАЛЬНОЕ ОПУБЛИКОВАНИЕ
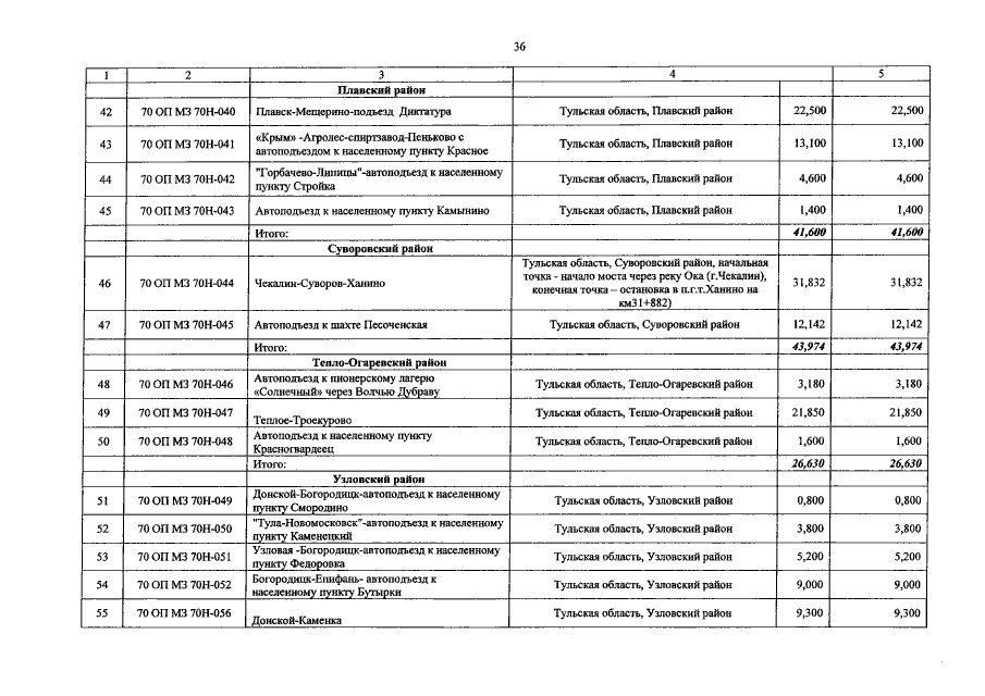
Постановление Правительства Тульской области от 25.04.2016 № 168
"О внесении изменений в постановление правительства Тульской области от 06.12.2011 № 233 "Об утверждении Перечня автомобильных дорог общего пользования регионального или межмуниципального значения Тульской области"
Номер опубликования: 7100201604270011
Дата опубликования: 27.04.2016
Страница №37 из 38:
Увеличить