Официальное опубликование правовых актов
ОФИЦИАЛЬНОЕ ОПУБЛИКОВАНИЕ
Постановление Правительства Тульской области от 11.03.2016 № 100
"О внесении изменений в постановление правительства Тульской области от 19.11.2013 № 660"
Номер опубликования: 7100201603180006
Дата опубликования: 18.03.2016
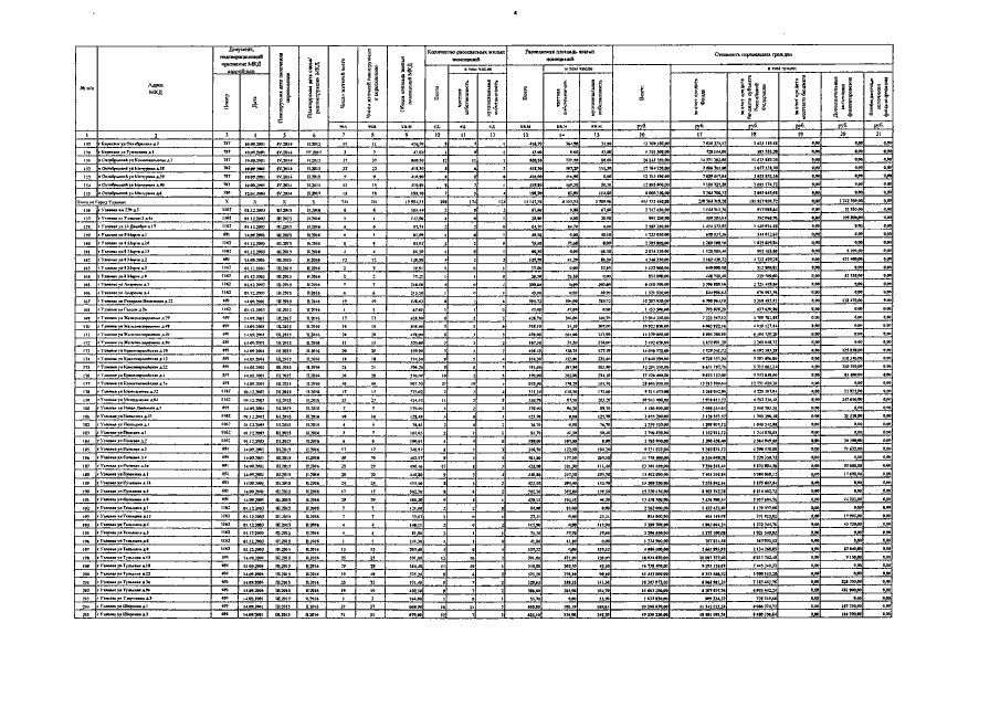
Страница №62 из 142:
Увеличить