Официальное опубликование правовых актов
ОФИЦИАЛЬНОЕ ОПУБЛИКОВАНИЕ
Постановление Правительства Тульской области от 25.12.2015 № 605
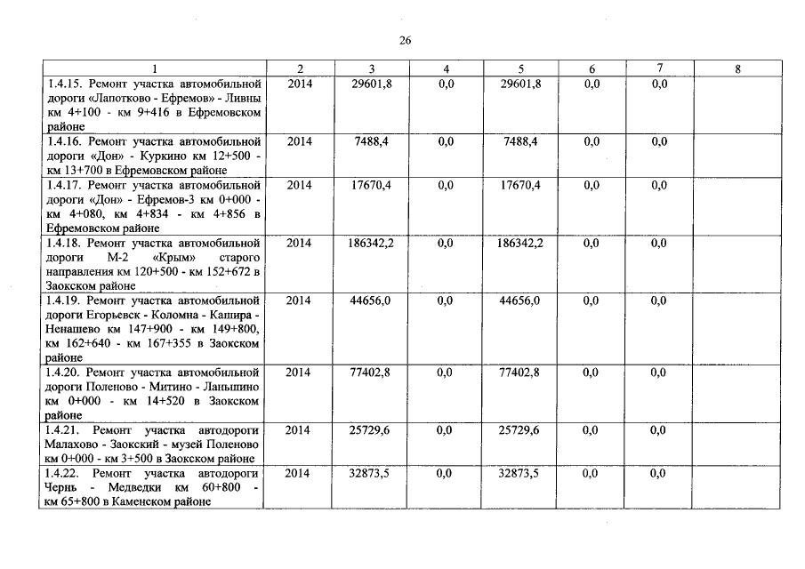
"О внесении изменений в постановление правительства Тульской области от 20.11.2013 № 662 "Об утверждении государственной программы Тульской области "Модернизация и развитие автомобильных дорог общего пользования в Тульской области"
Номер опубликования: 7100201512310010
Дата опубликования: 31.12.2015
Страница №27 из 147:
Увеличить