Официальное опубликование правовых актов
ОФИЦИАЛЬНОЕ ОПУБЛИКОВАНИЕ
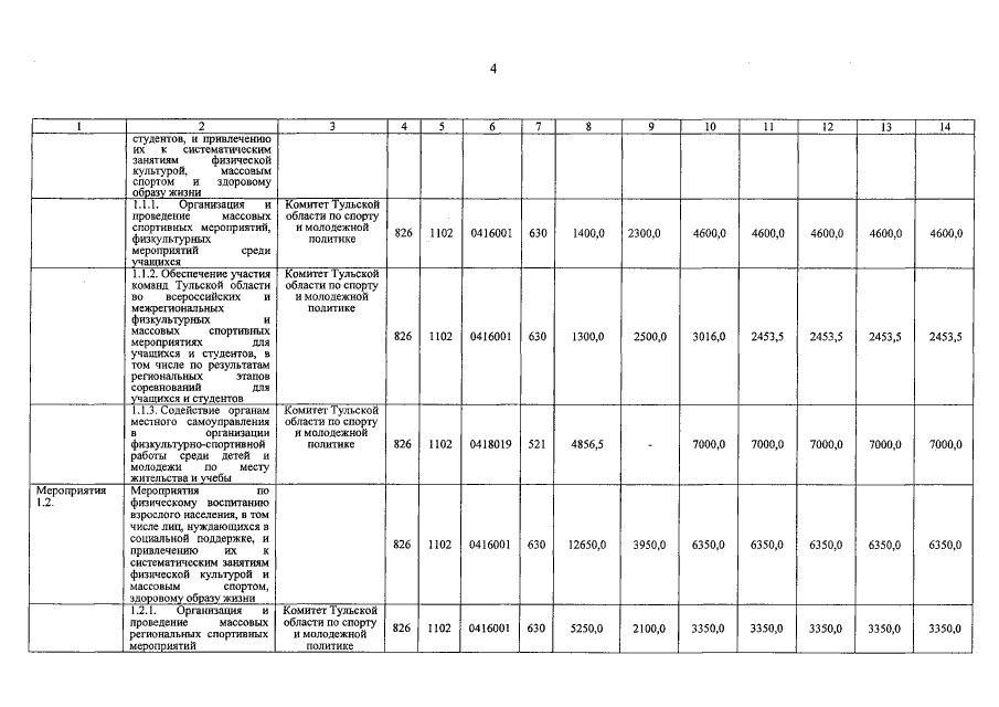
Постановление Правительства Тульской области от 16.09.2015 № 428
"О внесении изменений и дополнений в постановление правительства Тульской области от 09.12.2013 № 725"
Номер опубликования: 7100201509180013
Дата опубликования: 18.09.2015
Страница №21 из 38:
Увеличить