Официальное опубликование правовых актов
ОФИЦИАЛЬНОЕ ОПУБЛИКОВАНИЕ
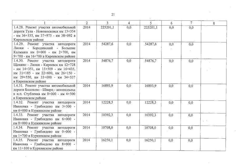
Постановление Правительства Тульской области от 15.07.2015 № 323
"О внесении изменений в постановление правительства Тульской области от 20.11.2013 № 662 "Об утверждении государственной программы Тульской области "Модернизация и развитие автомобильных дорог общего пользования в Тульской области"
Номер опубликования: 7100201507200016
Дата опубликования: 20.07.2015
Страница №30 из 124:
Увеличить