Официальное опубликование правовых актов
ОФИЦИАЛЬНОЕ ОПУБЛИКОВАНИЕ
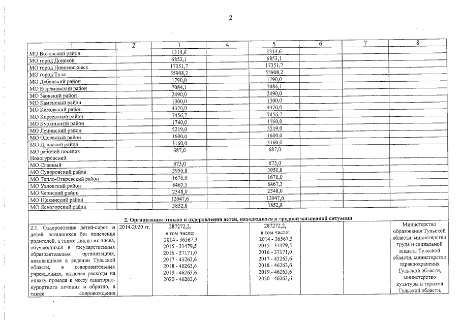
Постановление Правительства Тульской области от 19.05.2015 № 232
"О внесении изменений в постановление правительства Тульской области от 24.10.2013 № 575 "Об утверждении государственной программы Тульской области "Улучшение демографической ситуации и поддержка семей, воспитывающих детей, в Тульской области"
Номер опубликования: 7100201505220006
Дата опубликования: 22.05.2015
Страница №22 из 103:
Увеличить