Официальное опубликование правовых актов
ОФИЦИАЛЬНОЕ ОПУБЛИКОВАНИЕ
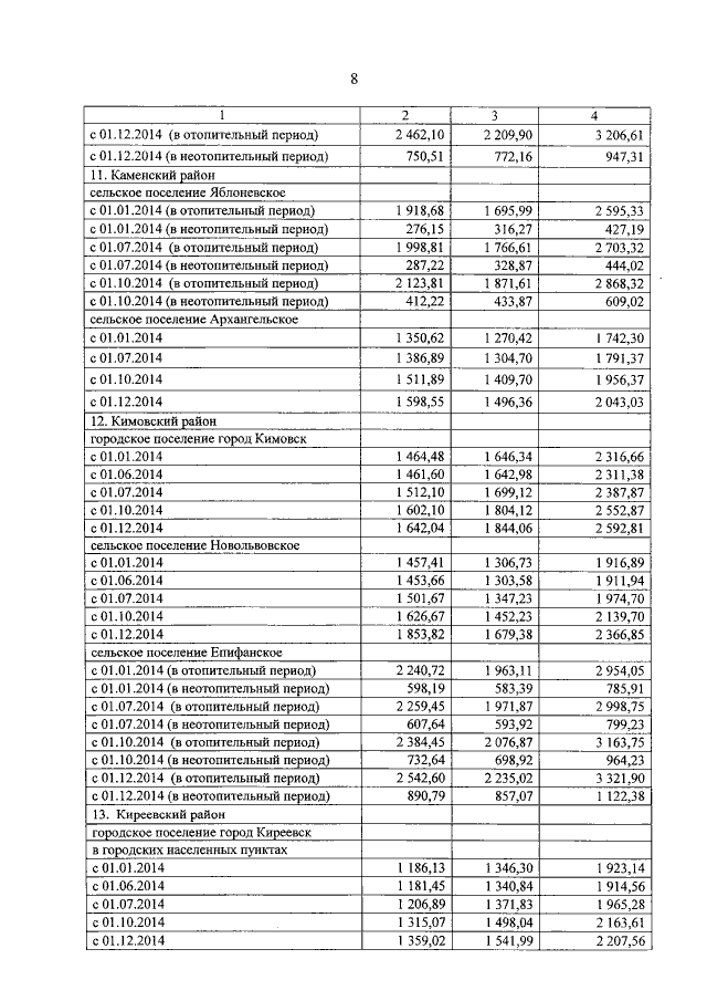
Постановление Правительства Тульской области от 22.04.2015 № 181
"Об установлении размера регионального стандарта стоимости предоставляемых жилищно-коммунальных услуг"
Номер опубликования: 7100201504240003
Дата опубликования: 24.04.2015
Страница №74 из 85:
Увеличить