Официальное опубликование правовых актов
ОФИЦИАЛЬНОЕ ОПУБЛИКОВАНИЕ
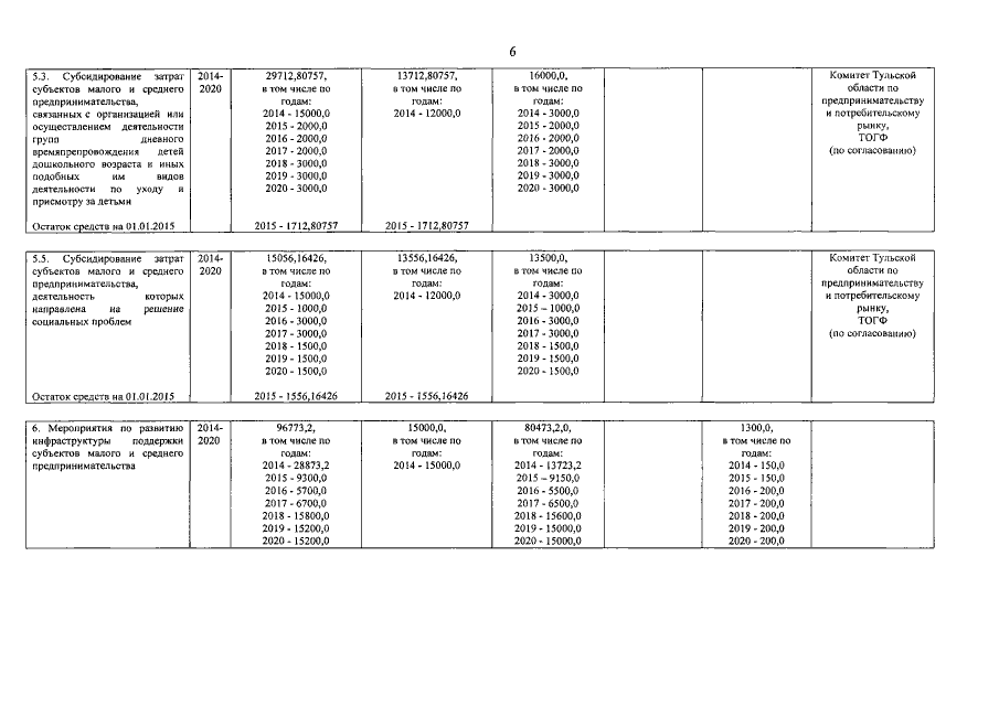
Постановление Правительства Тульской области от 22.04.2015 № 183
"О внесении изменений и дополнения в постановление правительства Тульской области от 30.10.2013 № 602 "Об утверждении государственной программы Тульской области "Развитие малого и среднего предпринимательства в Тульской области"
Номер опубликования: 7100201504240002
Дата опубликования: 24.04.2015
Страница №9 из 48:
Увеличить