Официальное опубликование правовых актов
ОФИЦИАЛЬНОЕ ОПУБЛИКОВАНИЕ
Постановление Правительства Тульской области от 13.03.2015 № 113
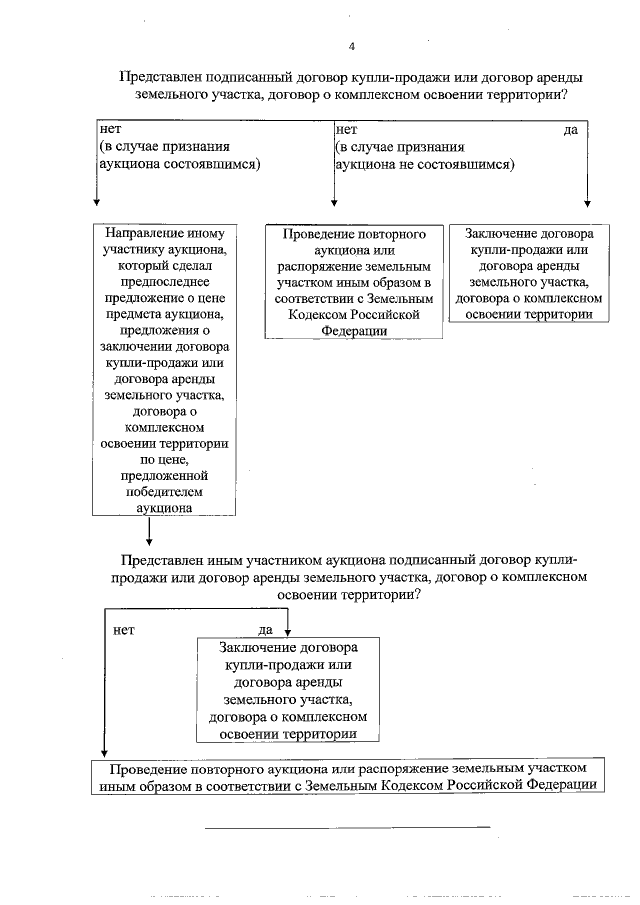
"Об утверждении административного регламента предоставления государственной услуги "Предоставление гражданам и юридическим лицам земельных участков, государственная собственность на которые не разграничена, в муниципальном образовании город Тула на торгах"
Номер опубликования: 7100201503160006
Дата опубликования: 16.03.2015
Страница №47 из 47:
Увеличить