Официальное опубликование правовых актов
ОФИЦИАЛЬНОЕ ОПУБЛИКОВАНИЕ
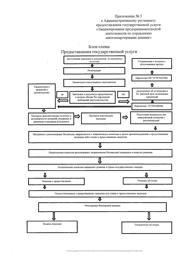
Постановление Правительства Тульской области от 17.02.2015 № 75
"Об утверждении административного регламента предоставления государственной услуги "Лицензирование предпринимательской деятельности по управлению многоквартирными домами"
Номер опубликования: 7100201502200001
Дата опубликования: 20.02.2015
Страница №57 из 65:
Увеличить