Официальное опубликование правовых актов
ОФИЦИАЛЬНОЕ ОПУБЛИКОВАНИЕ
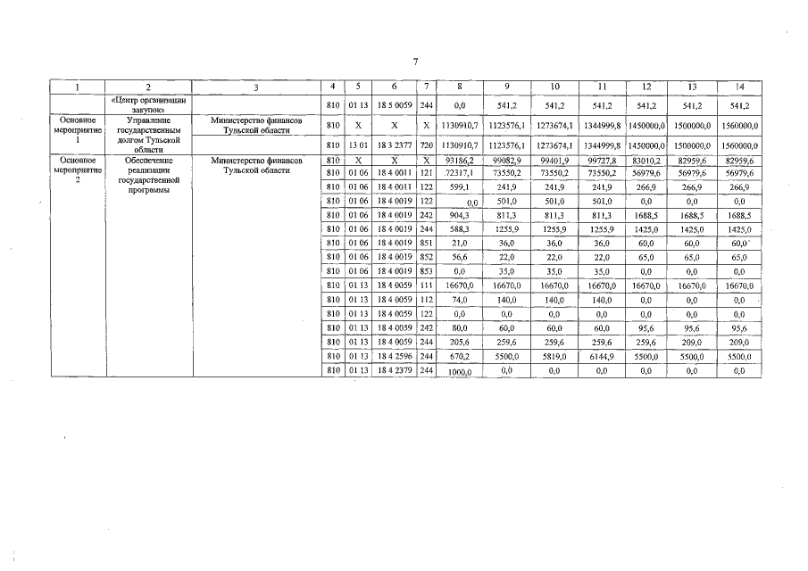
Постановление Правительства Тульской области от 09.02.2015 № 41
"О внесении изменений в постановление правительства Тульской области от 22.10.2013 № 561 "Об утверждении государственной программы Тульской области "Управление государственными финансами Тульской области"
Номер опубликования: 7100201502110019
Дата опубликования: 11.02.2015
Страница №19 из 21:
Увеличить