Официальное опубликование правовых актов
ОФИЦИАЛЬНОЕ ОПУБЛИКОВАНИЕ
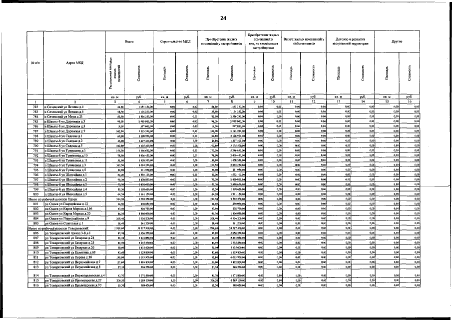
Постановление Правительства Тульской области от 30.12.2014 № 738
"О внесении изменений в постановление правительства Тульской области от 19.11.2013 № 660 "Об утверждении государственной программы Тульской области "Обеспечение качественным жильем и услугами ЖКХ населения Тульской области"
Номер опубликования: 7100201501040030
Дата опубликования: 04.01.2015
Страница №97 из 102:
Увеличить