Официальное опубликование правовых актов
ОФИЦИАЛЬНОЕ ОПУБЛИКОВАНИЕ
Постановление Правительства Тульской области от 25.12.2014 № 696
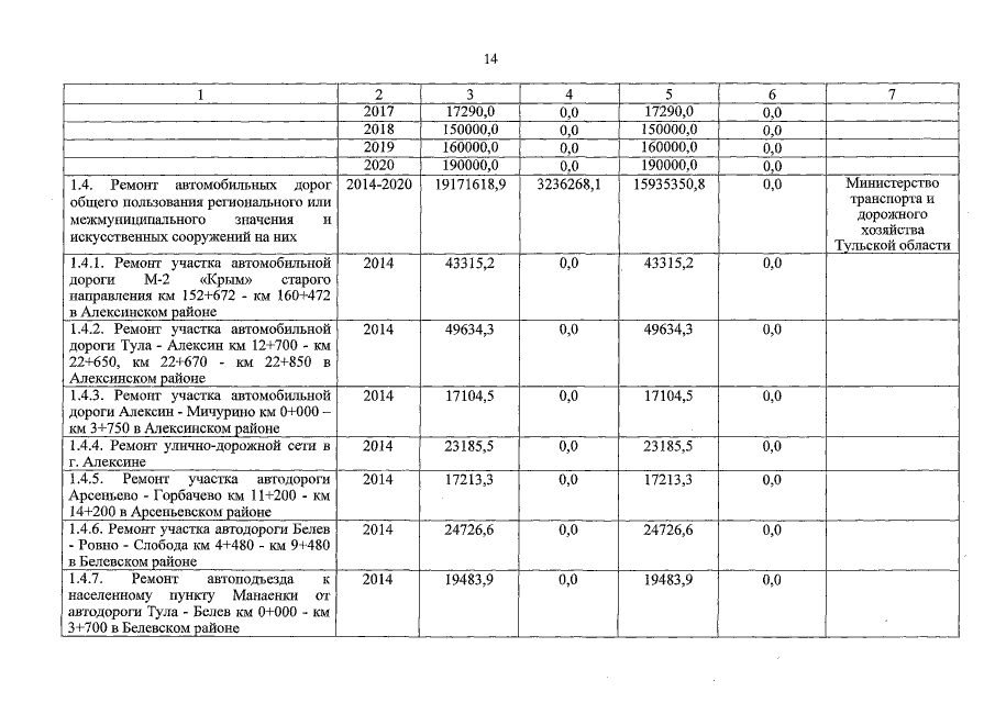
"О внесении изменений в постановление правительства Тульской области от 20.11.2013 № 662 "Об утверждении государственной программы Тульской области "Модернизация и развитие автомобильных дорог общего пользования в Тульской области"
Номер опубликования: 7100201412300005
Дата опубликования: 30.12.2014
Страница №18 из 97:
Увеличить