Официальное опубликование правовых актов
ОФИЦИАЛЬНОЕ ОПУБЛИКОВАНИЕ
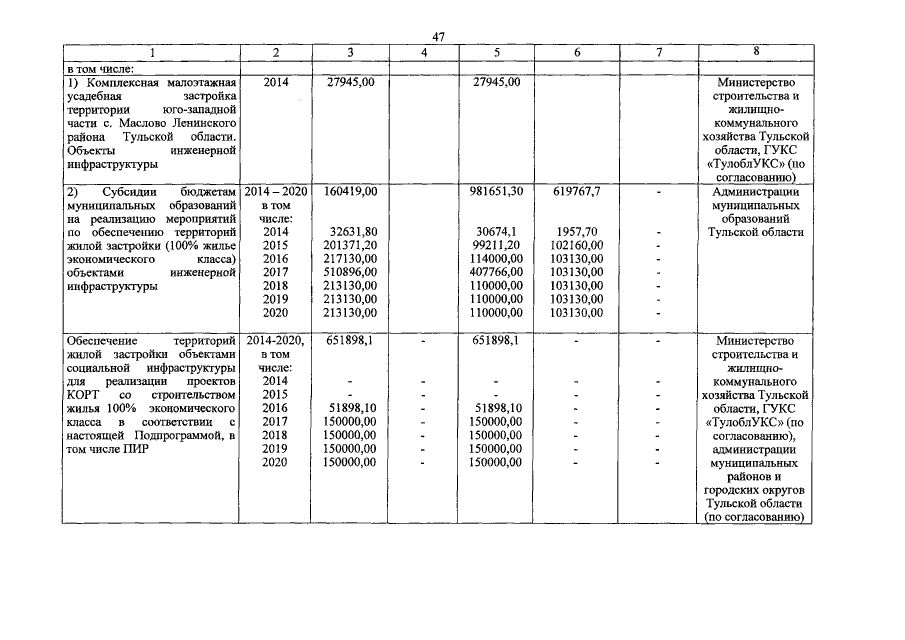
Постановление Правительства Тульской области от 09.12.2014 № 637
"О внесении изменения в постановление правительства Тульской области от 19.11.2013 № 660 "Об утверждении государственной программы Тульской области "Обеспечение качественным жильем и услугами ЖКХ населения Тульской области"
Номер опубликования: 7100201412110001
Дата опубликования: 11.12.2014
Страница №48 из 357:
Увеличить