Официальное опубликование правовых актов
ОФИЦИАЛЬНОЕ ОПУБЛИКОВАНИЕ
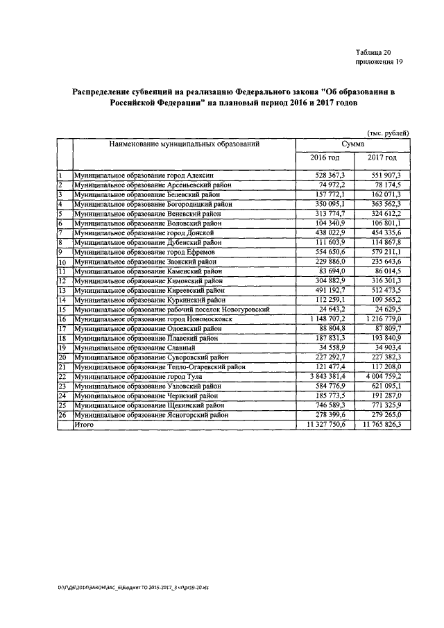
Закон Тульской области от 02.12.2014 № 2223-ЗТО
"О бюджете Тульской области на 2015 год и на плановый период 2016 и 2017 годов"
Номер опубликования: 7100201412090001
Дата опубликования: 09.12.2014
Страница №1780 из 1791:
Увеличить