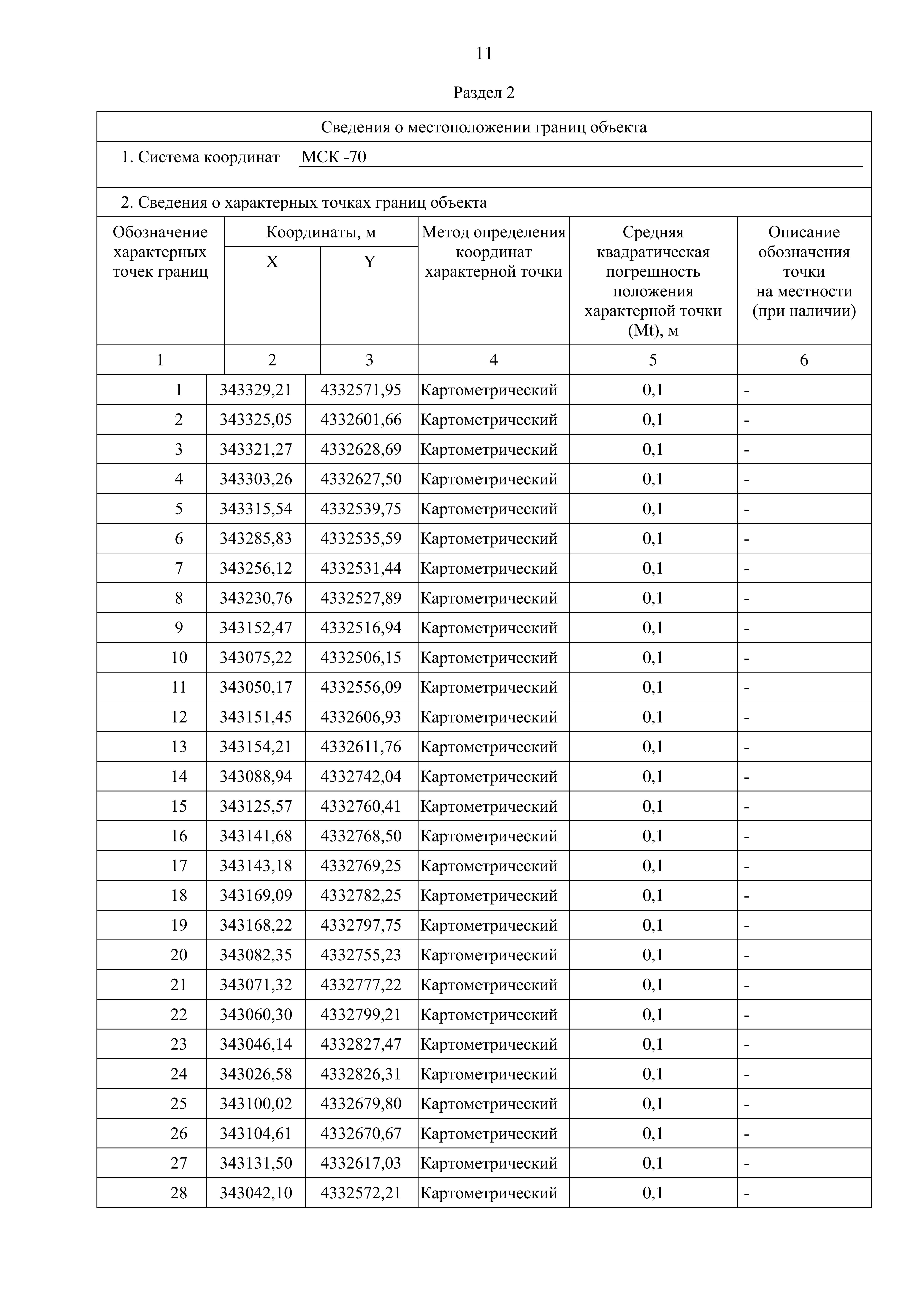
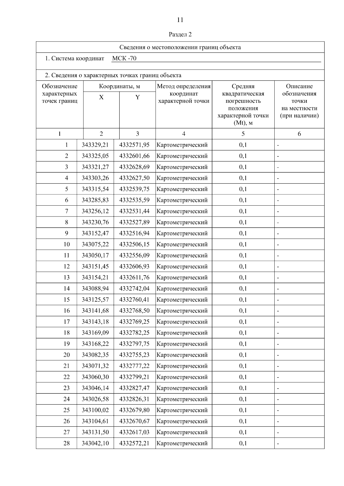
Приказ Департамента градостроительного развития Томской области от 09.04.2026 № 37
"О внесении изменений в Генеральный план и Правила землепользования и застройки муниципального образования "Зональненское сельское поселение" Томского района Томской области"
(Зарегистрирован 10.04.2026 № 384-91/2026)
"О внесении изменений в Генеральный план и Правила землепользования и застройки муниципального образования "Зональненское сельское поселение" Томского района Томской области"
(Зарегистрирован 10.04.2026 № 384-91/2026)
Номер опубликования: 7001202604130004
Дата опубликования:
13.04.2026
