Официальное опубликование правовых актов
ОФИЦИАЛЬНОЕ ОПУБЛИКОВАНИЕ
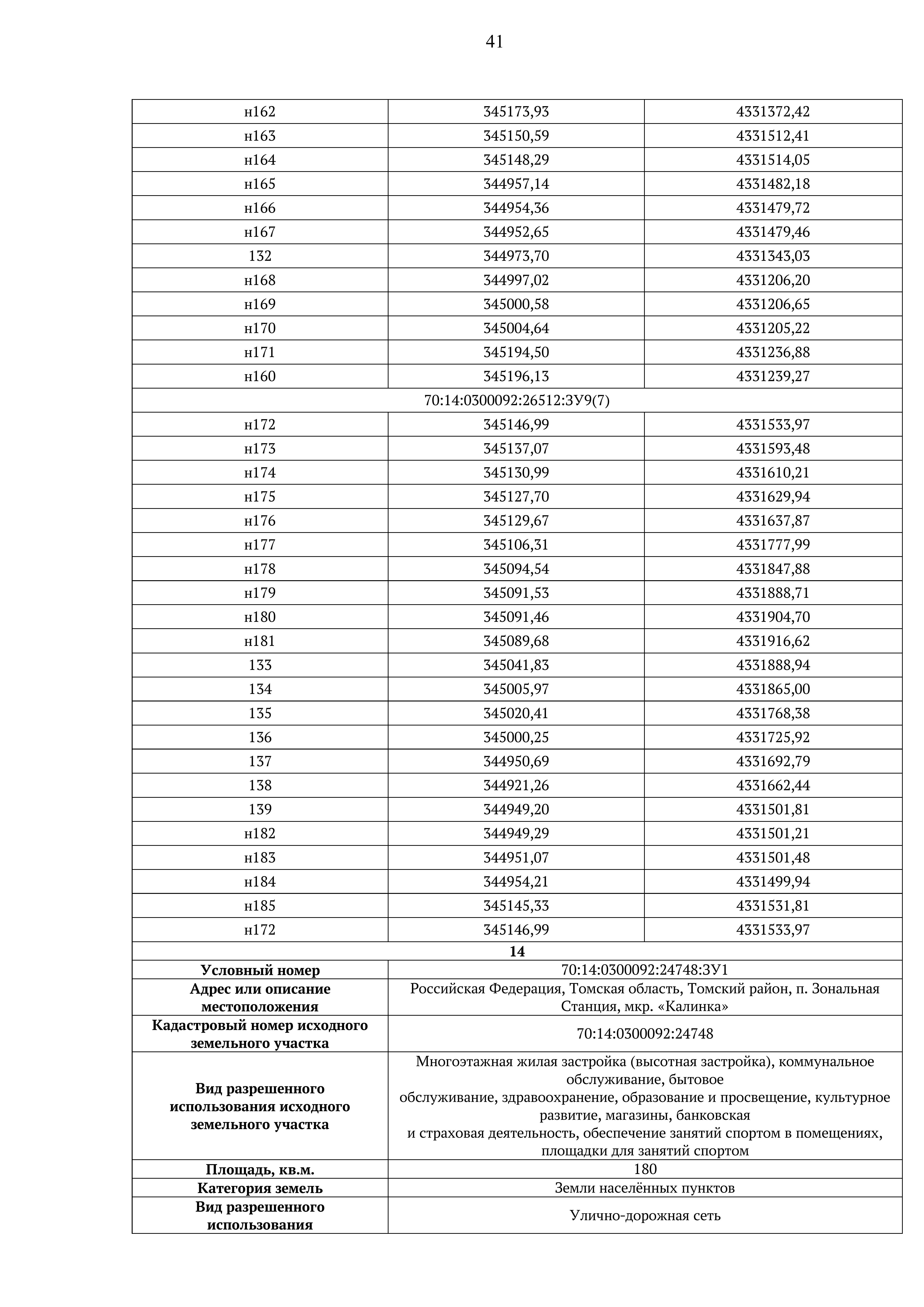
Приказ Департамента градостроительного развития Томской области от 23.12.2025 № 158
"Об утверждении проекта планировки и проекта межевания территории для размещения линейного объекта: "Улицы местного значения (улицы в жилой застройке) в жилом районе "Южные Ворота 2" в пос. Зональная Станция Томского района Томской области"
(Зарегистрирован 25.12.2025 № 1973-91/2025)
Номер опубликования: 7001202512260036
Дата опубликования: 26.12.2025
Страница №41 из 45: