Официальное опубликование правовых актов
ОФИЦИАЛЬНОЕ ОПУБЛИКОВАНИЕ
Приказ Департамента градостроительного развития Томской области от 24.12.2025 № 159
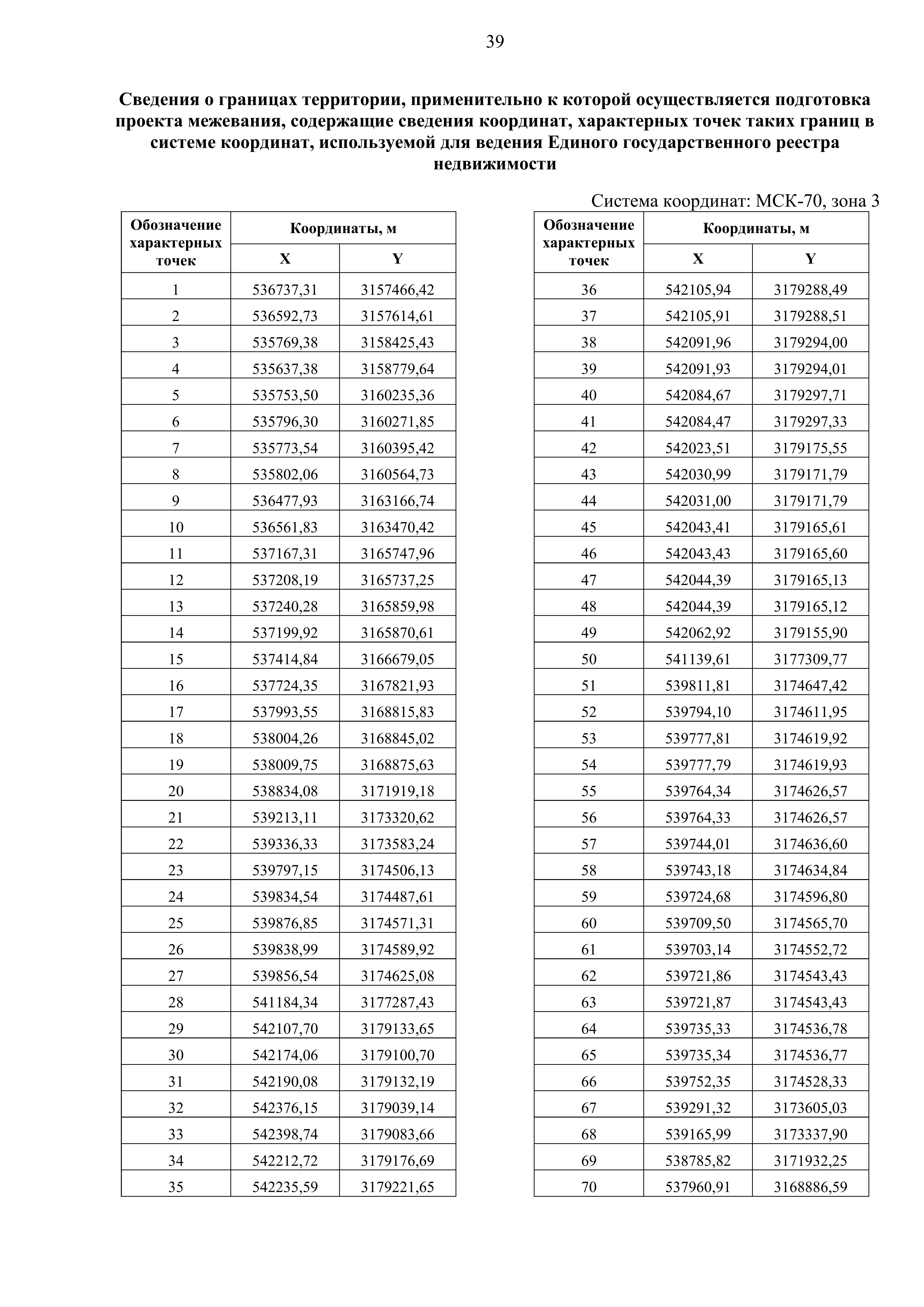
"Об утверждении проекта планировки территории и проекта межевания территории для размещения линейного объекта "Магистральный газопровод "Лугинецкое нгк.м.р. – Парабель". II этап"
(Зарегистрирован 25.12.2025 № 1974-91/2025)
Номер опубликования: 7001202512260035
Дата опубликования: 26.12.2025
Страница №39 из 50: