Официальное опубликование правовых актов
ОФИЦИАЛЬНОЕ ОПУБЛИКОВАНИЕ
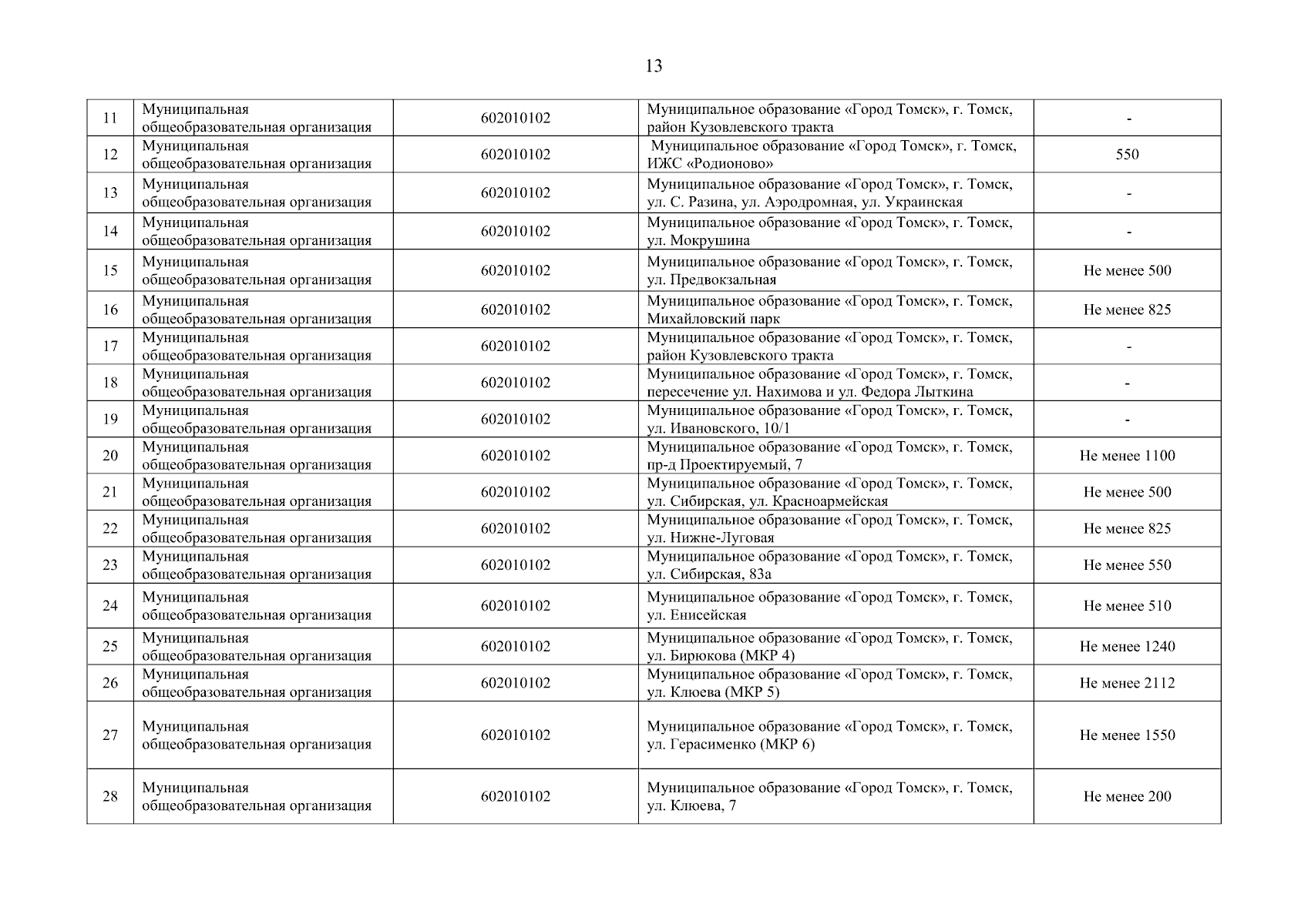
Приказ Департамента градостроительного развития Томской области от 24.12.2025 № 161
"О внесении изменений в Карту планируемого размещения объектов местного значения муниципального образования "Город Томск" в области образования"
(Зарегистрирован 25.12.2025 № 1976-91/2025)
Номер опубликования: 7001202512260034
Дата опубликования: 26.12.2025
Страница №13 из 17: