Официальное опубликование правовых актов
ОФИЦИАЛЬНОЕ ОПУБЛИКОВАНИЕ
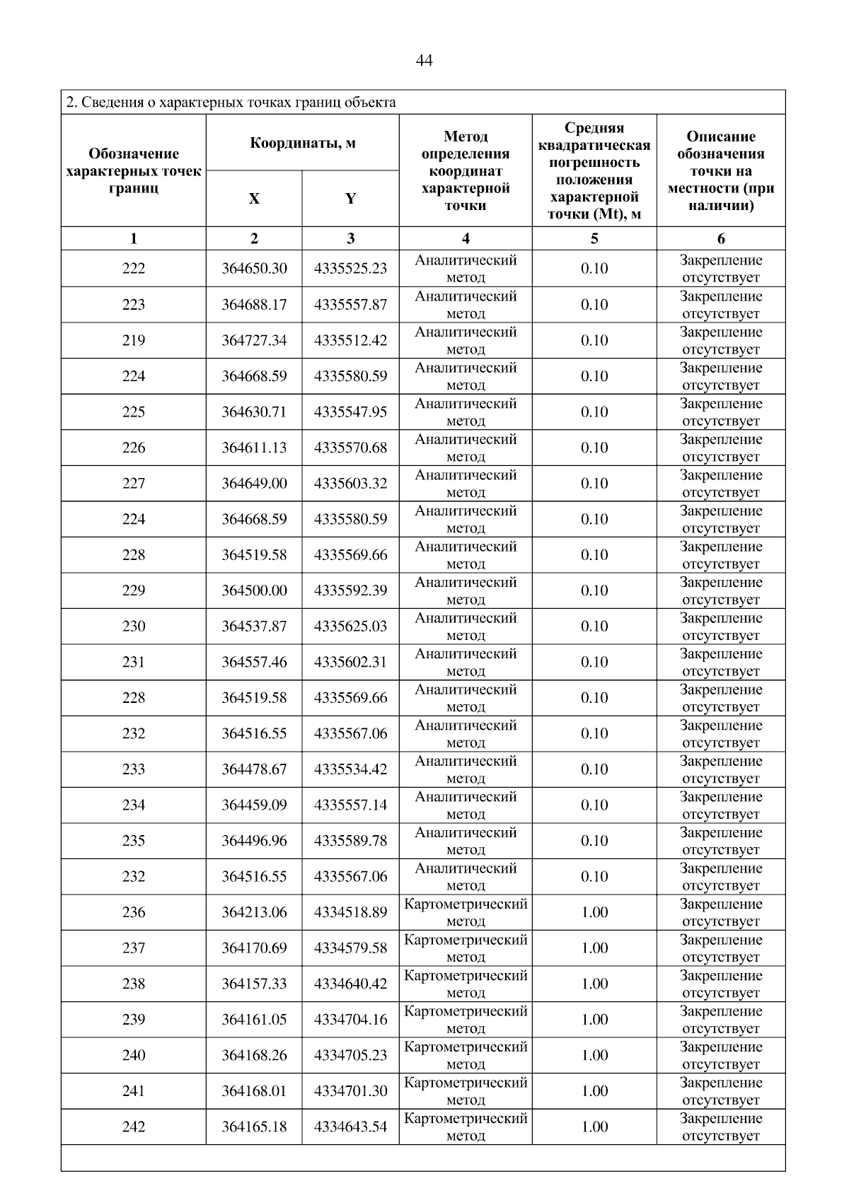
Приказ Департамента градостроительного развития Томской области от 22.12.2025 № 153
"О внесении изменений в Генеральный план и Правила землепользования и застройки муниципального образования "Копыловское сельское поселение Томского муниципального района Томской области"
(Зарегистрирован 23.12.2025 № 1889-91/2025)
Номер опубликования: 7001202512240003
Дата опубликования: 24.12.2025
Страница №44 из 350: