Официальное опубликование правовых актов
ОФИЦИАЛЬНОЕ ОПУБЛИКОВАНИЕ
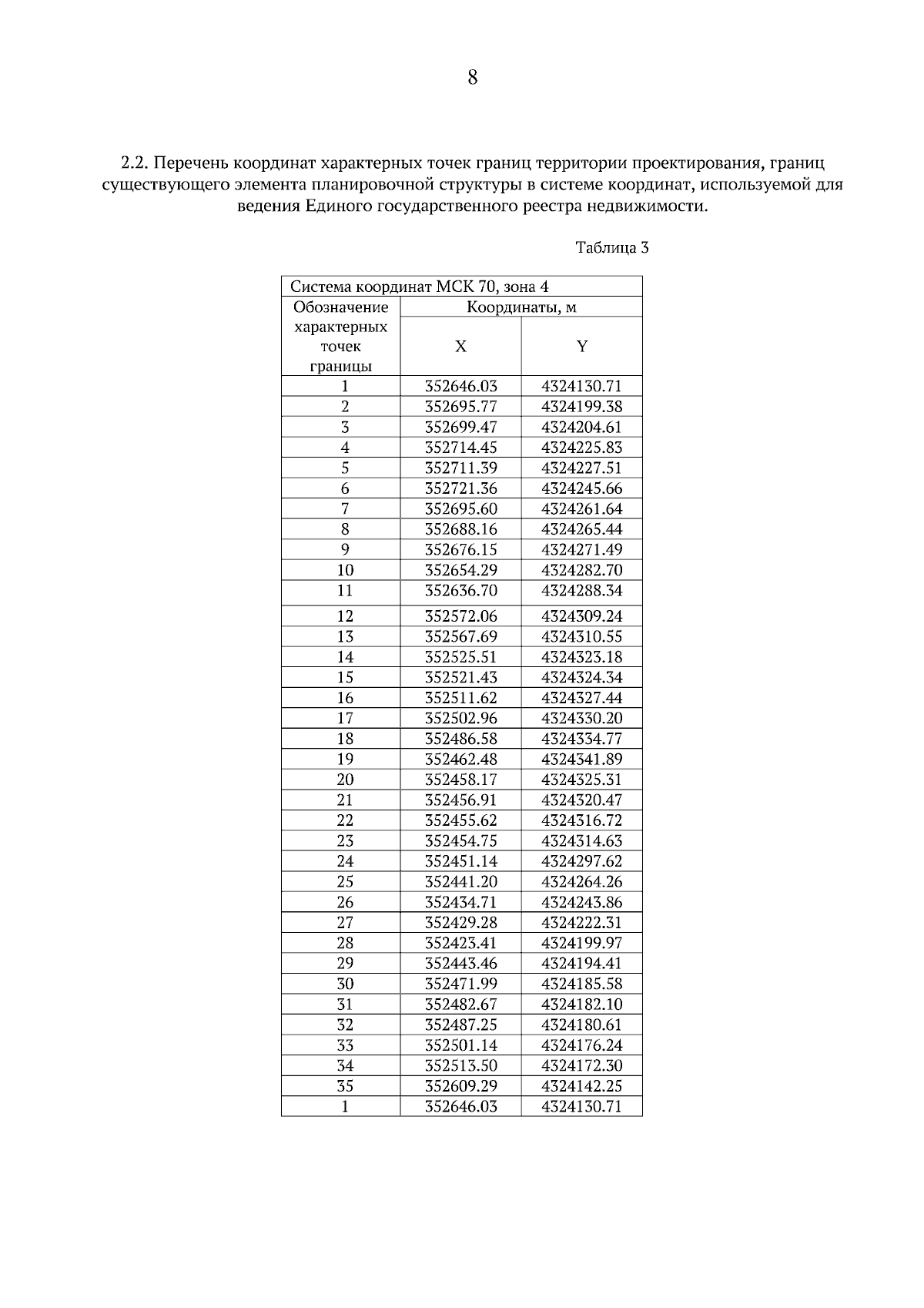
Приказ Департамента градостроительного развития Томской области от 16.12.2025 № 145
"Об утверждении проекта межевания территории, ограниченной ул. Пролетарская, ул. Войкова, пер. Дербышевский, ул. Мельничная, в городе Томске"
(Зарегистрирован 17.12.2025 № 1741-91/2025)
Номер опубликования: 7001202512180001
Дата опубликования: 18.12.2025
Страница №8 из 13:
Увеличить