Официальное опубликование правовых актов
ОФИЦИАЛЬНОЕ ОПУБЛИКОВАНИЕ
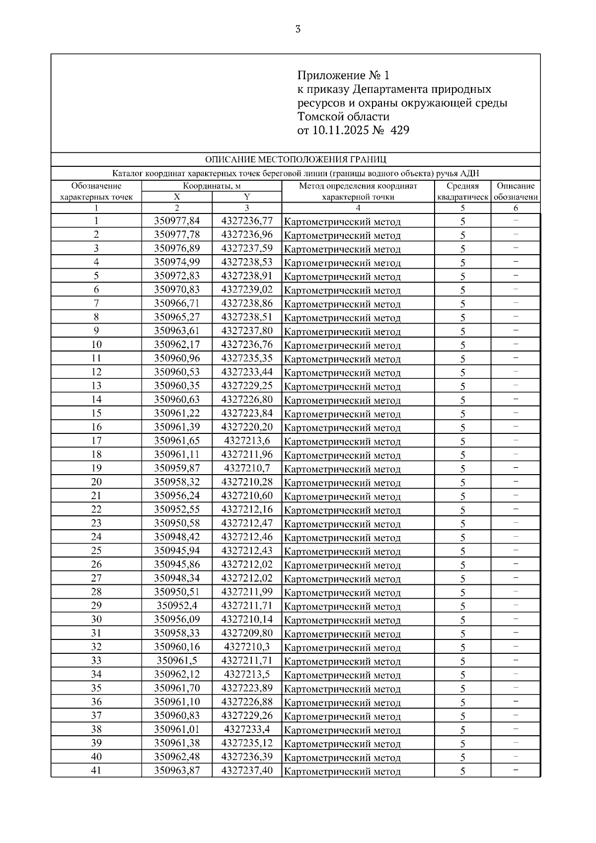
Приказ Департамента природных ресурсов и охраны окружающей среды Томской области от 10.11.2025 № 429
"Об установлении береговой линии (границы водного объекта), границ водоохранной зоны и границ прибрежной защитной полосы водных объектов Михайловско-Рощинской ландшафтно-родниковой зоны в г. Томске"
(Зарегистрирован 10.11.2025 № 1283-63/2025)
Номер опубликования: 7001202511120005
Дата опубликования: 12.11.2025
Страница №3 из 42:
Увеличить