Официальное опубликование правовых актов
ОФИЦИАЛЬНОЕ ОПУБЛИКОВАНИЕ
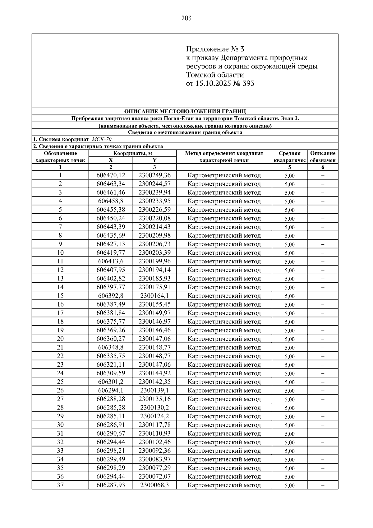
Приказ Департамента природных ресурсов и охраны окружающей среды Томской области от 15.10.2025 № 393
"Об установлении местоположения береговой линии (границы водного объекта), границ водоохранных зон и границ прибрежных защитных полос реки Погон Еган на территории Томской области 2 этап"
(Зарегистрирован 20.10.2025 № 1202-63/2025)
Номер опубликования: 7001202510210001
Дата опубликования: 21.10.2025
Страница №203 из 340:
Увеличить