Официальное опубликование правовых актов
ОФИЦИАЛЬНОЕ ОПУБЛИКОВАНИЕ
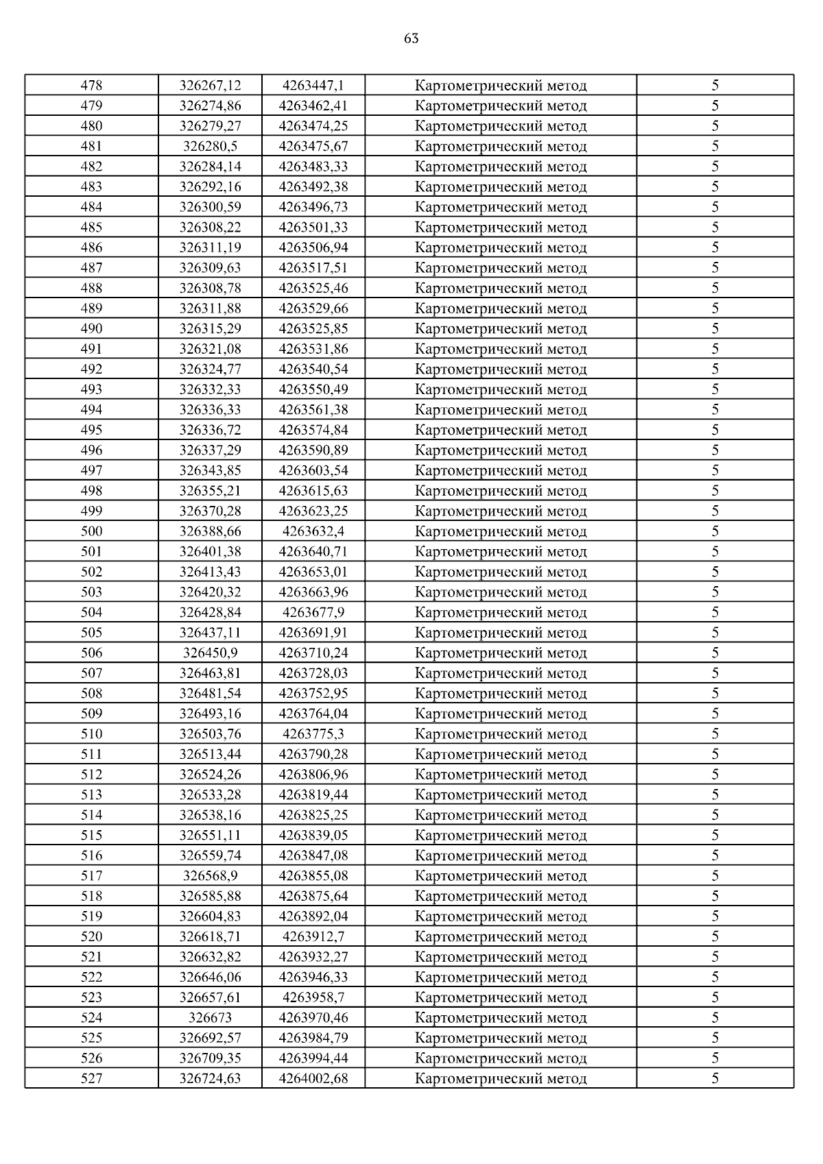
Приказ Департамента природных ресурсов и охраны окружающей среды Томской области от 12.08.2025 № 316
"О внесении изменений в приказ Департамента природных ресурсов и охраны окружающей среды Томской области от 22.11.2024 № 169"
(Зарегистрирован 15.08.2025 № 941-63/2025)
Номер опубликования: 7001202508180004
Дата опубликования: 18.08.2025
Страница №63 из 85:
Увеличить