Официальное опубликование правовых актов
ОФИЦИАЛЬНОЕ ОПУБЛИКОВАНИЕ
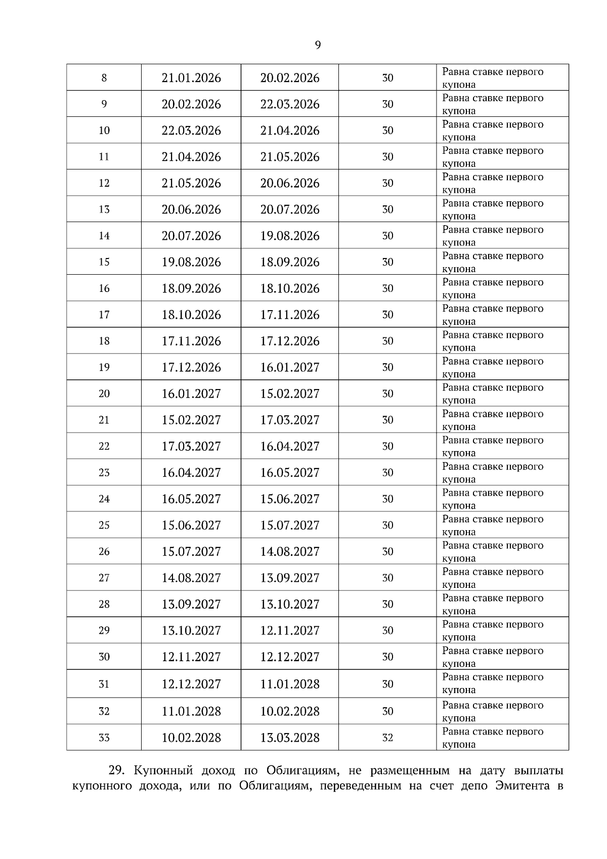
Приказ Департамента финансов Томской области от 16.06.2025 № 16
"Об утверждении решения об эмиссии облигаций биржевого внутреннего займа Томской области 2025 года с фиксированным купонным доходом и амортизацией долга"
(Зарегистрирован 17.06.2025 № 682-50/2025)
Номер опубликования: 7001202506170009
Дата опубликования: 17.06.2025
Страница №9 из 17:
Увеличить