Официальное опубликование правовых актов
ОФИЦИАЛЬНОЕ ОПУБЛИКОВАНИЕ
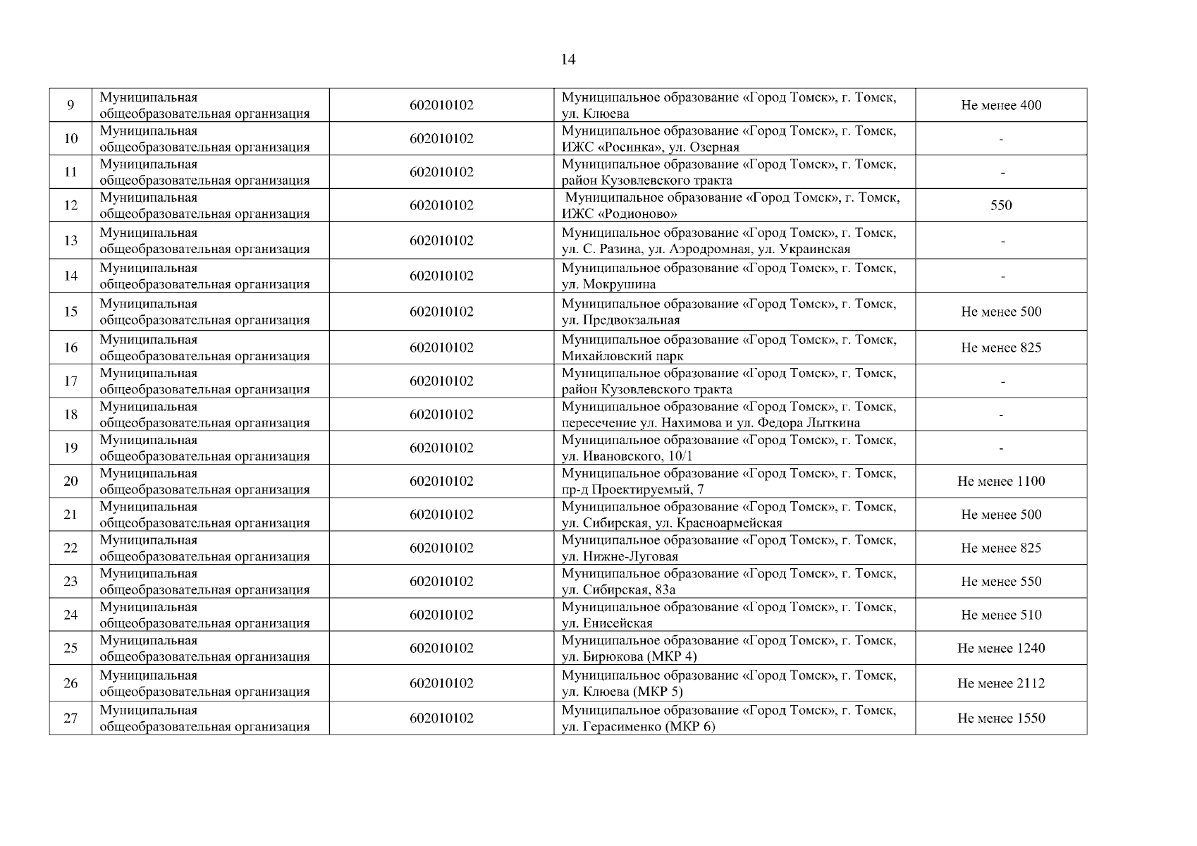
Приказ Департамента градостроительного развития Томской области от 10.06.2025 № 46
"О внесении изменений в Карту планируемого размещения объектов местного значения муниципального образования "Город Томск"
(Зарегистрирован 11.06.2025 № 662-91/2025)
Номер опубликования: 7001202506170001
Дата опубликования: 17.06.2025
Страница №14 из 18:
Увеличить