Официальное опубликование правовых актов
ОФИЦИАЛЬНОЕ ОПУБЛИКОВАНИЕ
Приказ Департамента ЖКХ и государственного жилищного надзора Томской области от 27.05.2025 № 16
"О внесении изменения в приказ Департамента ЖКХ и государственного жилищного надзора Томской области от 10.12.2024 № 58"
(Зарегистрирован 28.05.2025 № 585-71/2025)
Номер опубликования: 7001202505290002
Дата опубликования: 29.05.2025
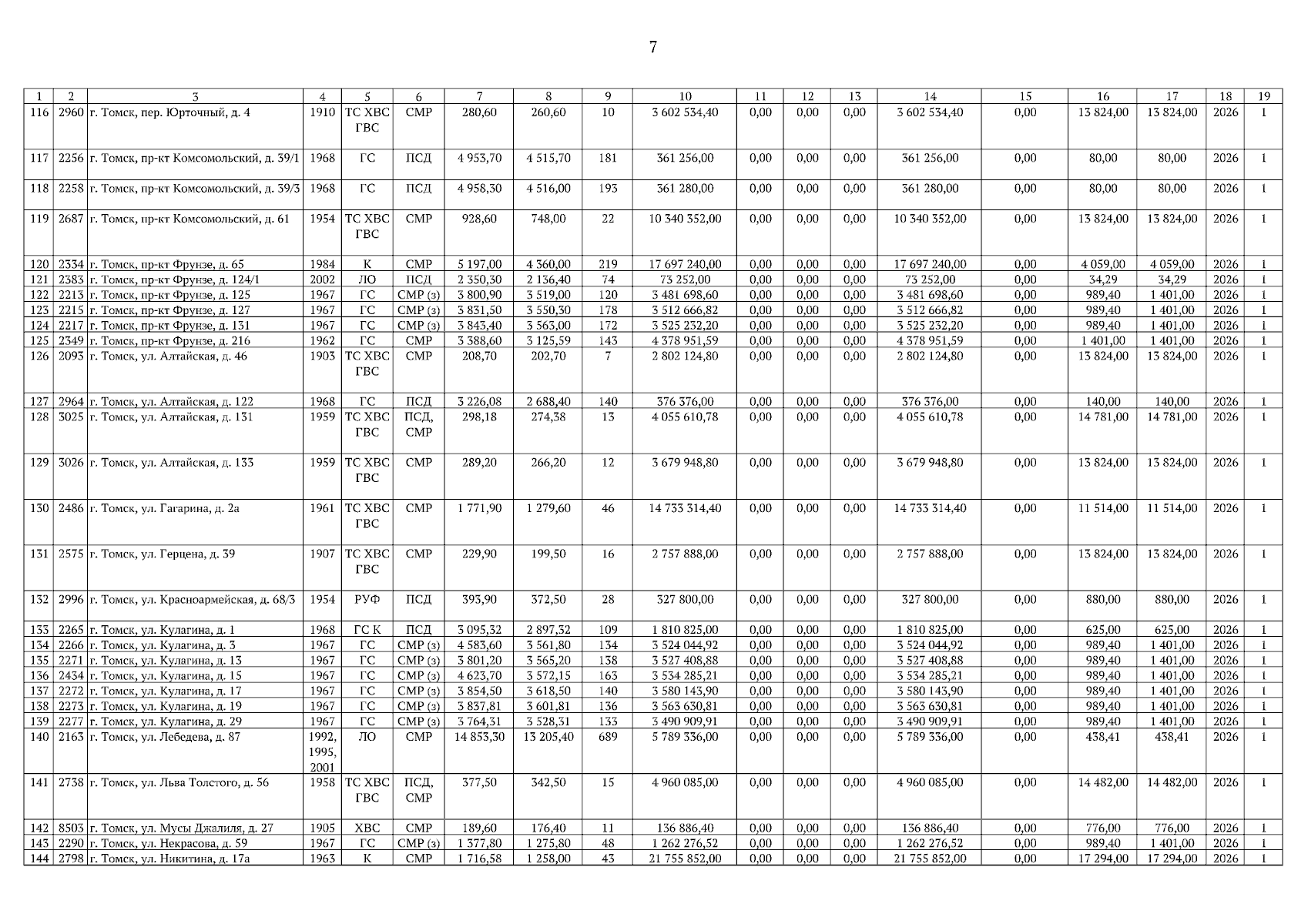
Страница №7 из 54:
Увеличить