Официальное опубликование правовых актов
ОФИЦИАЛЬНОЕ ОПУБЛИКОВАНИЕ
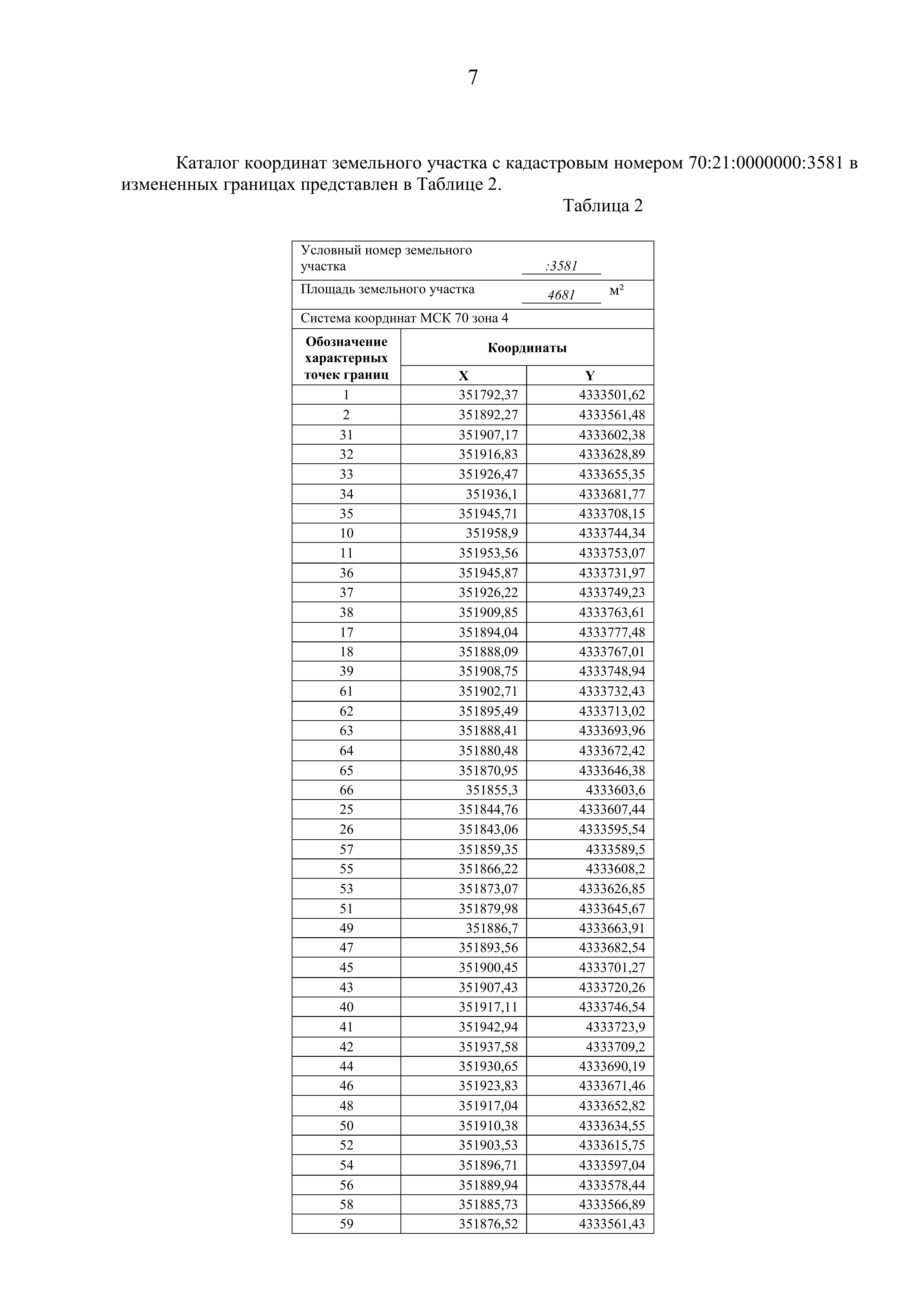
Приказ Департамента градостроительного развития Томской области от 07.05.2025 № 37
"Об утверждении проекта межевания территории СНТ СН "Перспектива"
(Зарегистрирован 14.05.2025 № 526-91/2025)
Номер опубликования: 7001202505220009
Дата опубликования: 22.05.2025
Страница №7 из 15: