Официальное опубликование правовых актов
ОФИЦИАЛЬНОЕ ОПУБЛИКОВАНИЕ
Приказ Департамента тарифного регулирования Томской области от 04.04.2025 № 8-19/9(44)
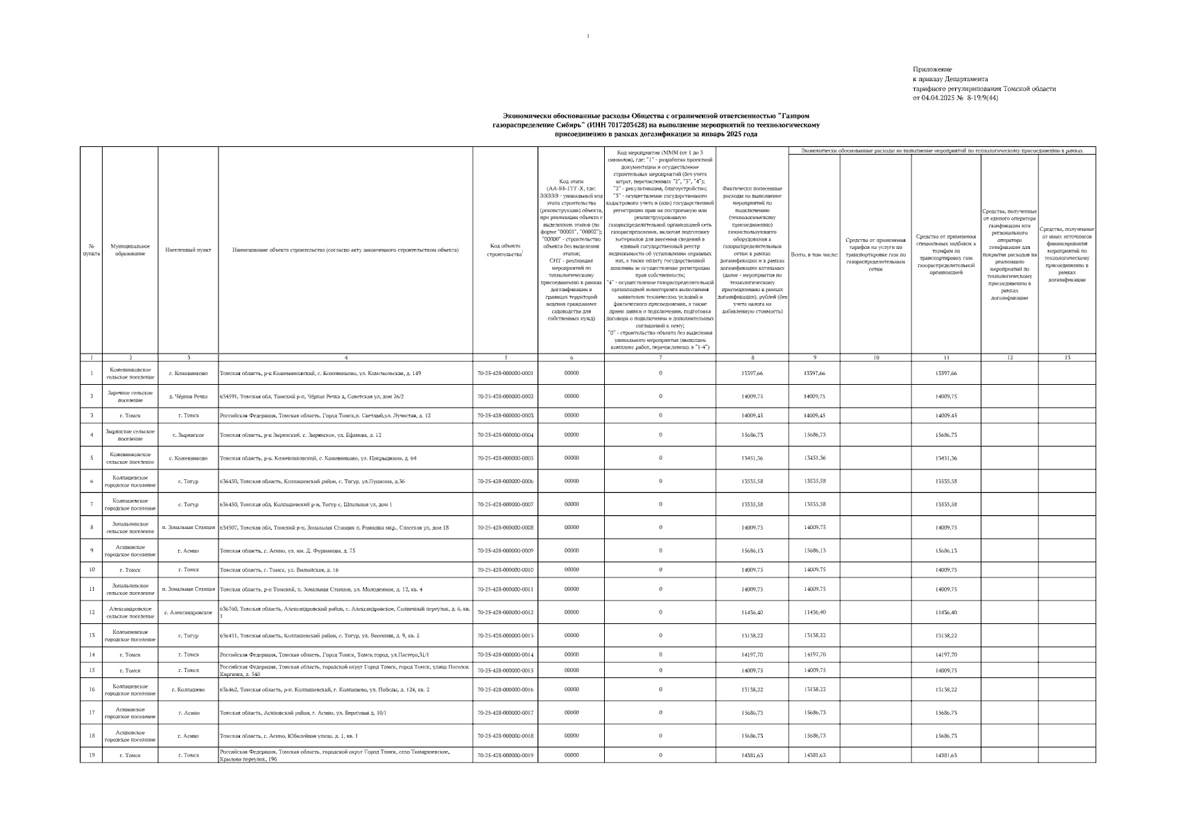
"Об утверждении размера экономически обоснованных расходов Общества с ограниченной ответственностью "Газпром газораспределение Сибирь" (ИНН 7017203428) на выполнение мероприятий по технологическому присоединению в рамках догазификации за январь 2025 года"
(Зарегистрирован 08.04.2025 № 390-53/2025)
Номер опубликования: 7001202504110001
Дата опубликования: 11.04.2025
Страница №3 из 24:
Увеличить