Официальное опубликование правовых актов
ОФИЦИАЛЬНОЕ ОПУБЛИКОВАНИЕ
Приказ Департамента градостроительного развития Томской области от 07.02.2025 № 8
"Об утверждении проекта планировки и проекта межевания территории, местоположение которой: г. Томск, Иркутский тракт"
(Зарегистрирован 10.02.2025 № 161-91/2025)
Номер опубликования: 7001202502120004
Дата опубликования: 12.02.2025
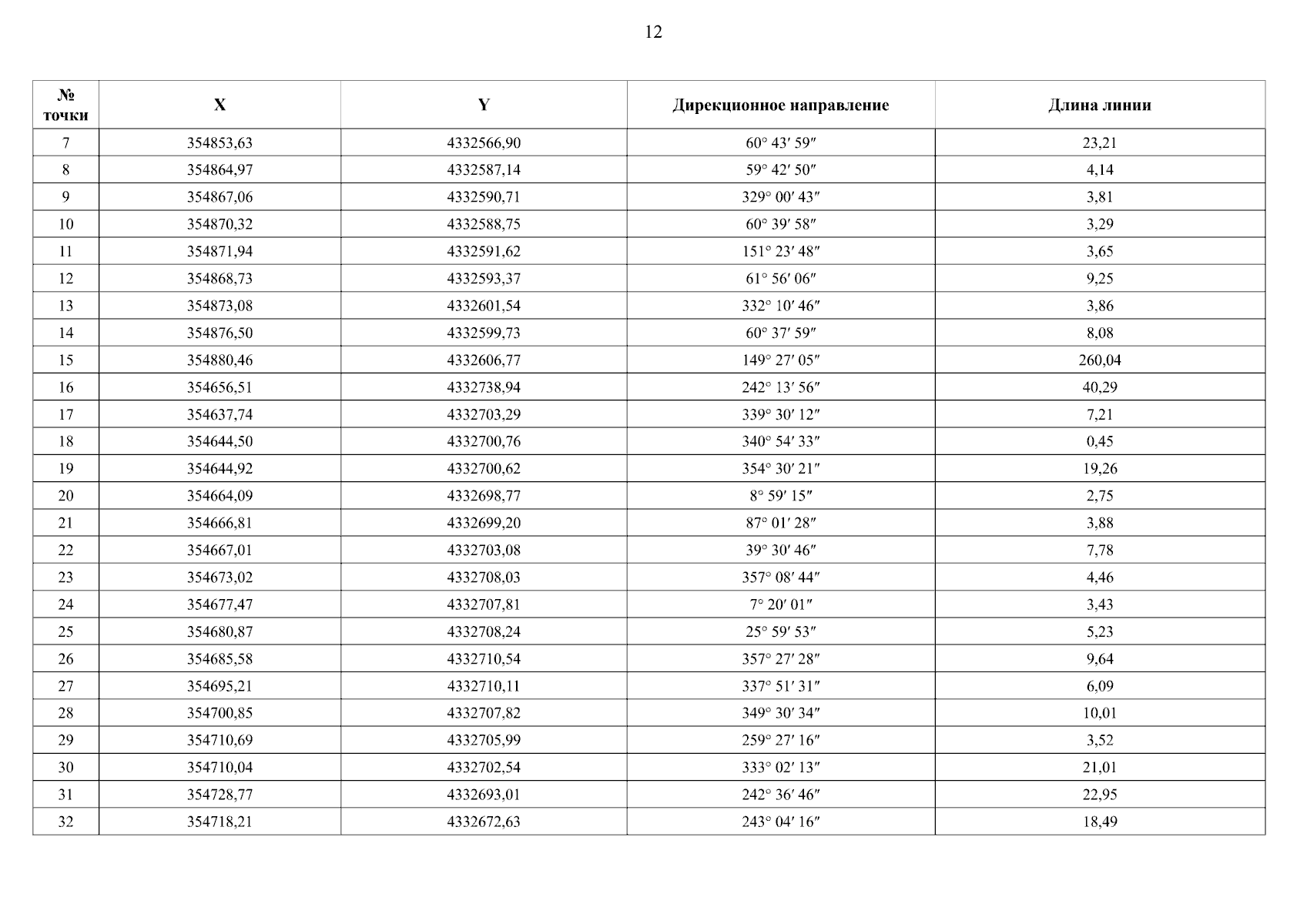
Страница №12 из 18:
Увеличить