Официальное опубликование правовых актов
ОФИЦИАЛЬНОЕ ОПУБЛИКОВАНИЕ
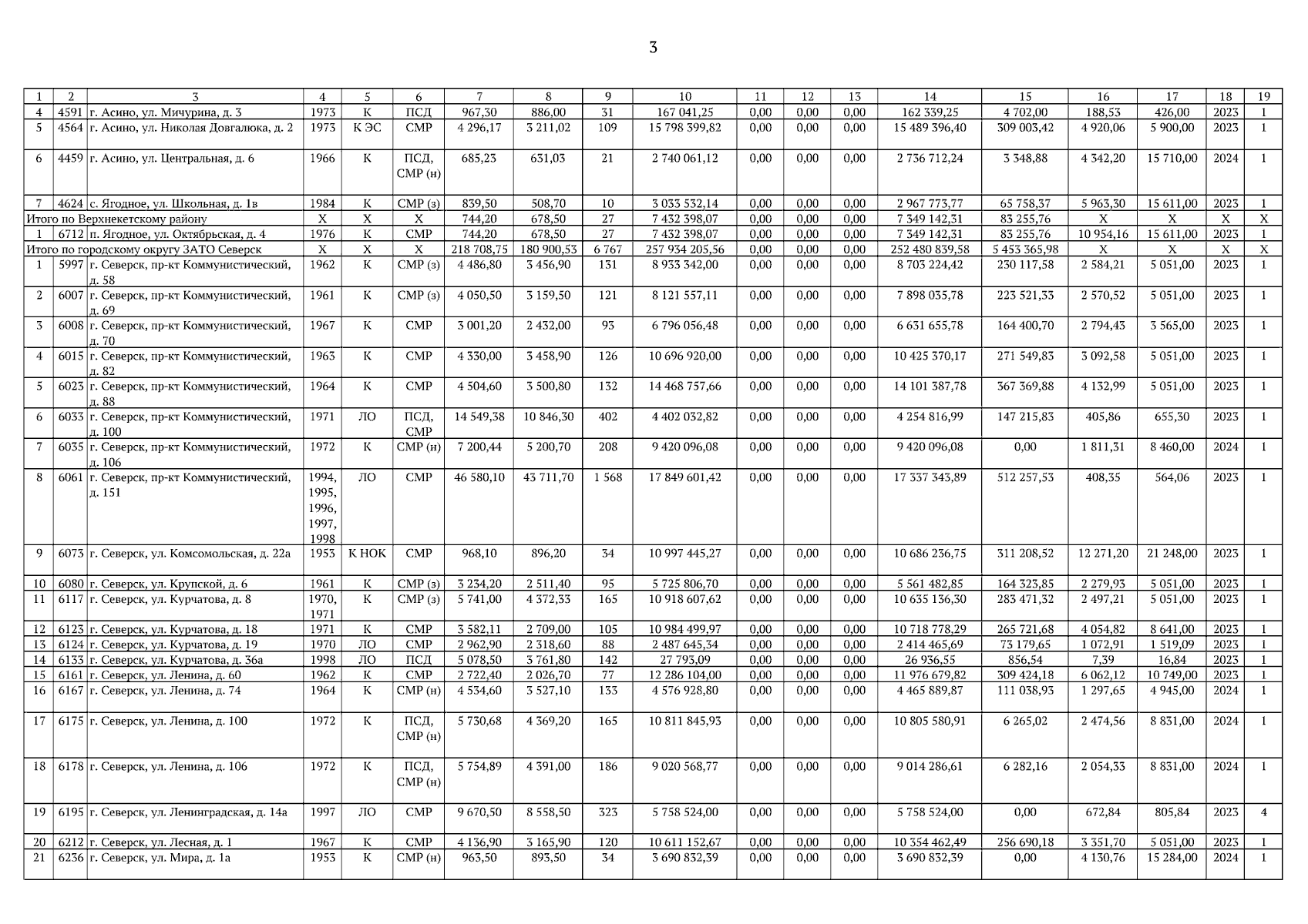
Приказ Департамента ЖКХ и государственного жилищного надзора Томской области от 24.12.2024 № 61
"О внесении изменения в приказ Департамента ЖКХ и государственного жилищного надзора Томской области от 16.06.2022 № 40"
(Зарегистрирован 25.12.2024 № 2063-71/2024)
Номер опубликования: 7001202412260026
Дата опубликования: 26.12.2024
Страница №3 из 172:
Увеличить