Официальное опубликование правовых актов
ОФИЦИАЛЬНОЕ ОПУБЛИКОВАНИЕ
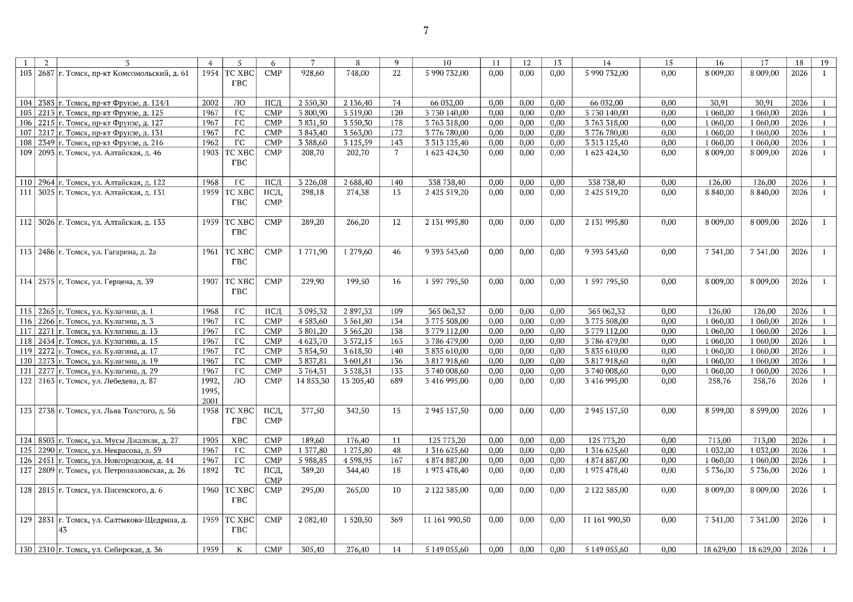
Приказ Департамента ЖКХ и государственного жилищного надзора Томской области от 10.12.2024 № 58
"Об утверждении Краткосрочного плана реализации в 2026-2028 годах Региональной программы капитального ремонта общего имущества в многоквартирных домах, расположенных на территории Томской области"
(Зарегистрирован 12.12.2024 № 1731-71/2024)
Номер опубликования: 7001202412130001
Дата опубликования: 13.12.2024
Страница №7 из 56:
Увеличить