Официальное опубликование правовых актов
ОФИЦИАЛЬНОЕ ОПУБЛИКОВАНИЕ
Приказ Департамента тарифного регулирования Томской области от 30.11.2024 № 6-448
"О внесении изменений в приказ Департамента тарифного регулирования Томской области от 29.12.2023 № 6-642"
(Зарегистрирован 09.12.2024 № 1707-53/2024)
Номер опубликования: 7001202412100009
Дата опубликования: 10.12.2024
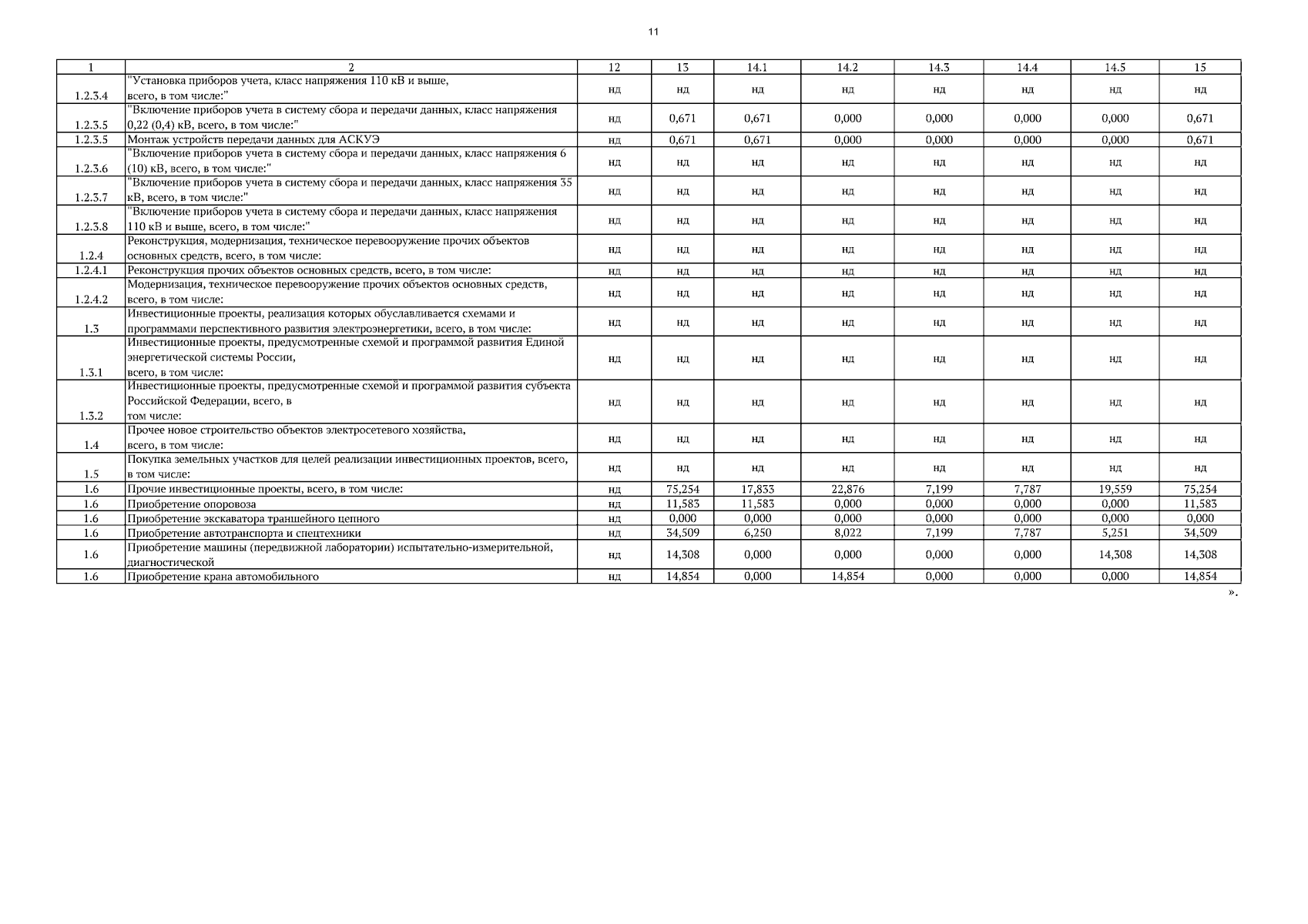
Страница №11 из 49:
Увеличить