Официальное опубликование правовых актов
ОФИЦИАЛЬНОЕ ОПУБЛИКОВАНИЕ
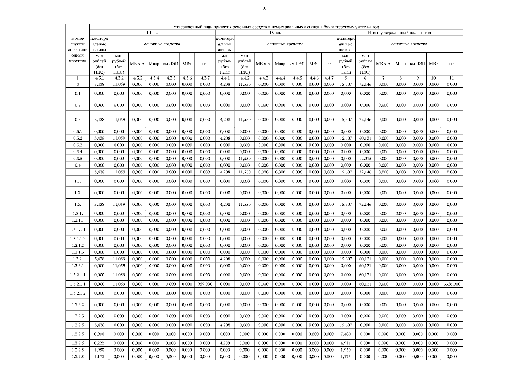
Приказ Департамента тарифного регулирования Томской области от 30.11.2024 № 6-447
"О внесении изменений в приказ Департамента тарифного регулирования Томской области от 29.12.2023 № 6-640"
(Зарегистрирован 09.12.2024 № 1710-53/2024)
Номер опубликования: 7001202412100004
Дата опубликования: 10.12.2024
Страница №30 из 36:
Увеличить