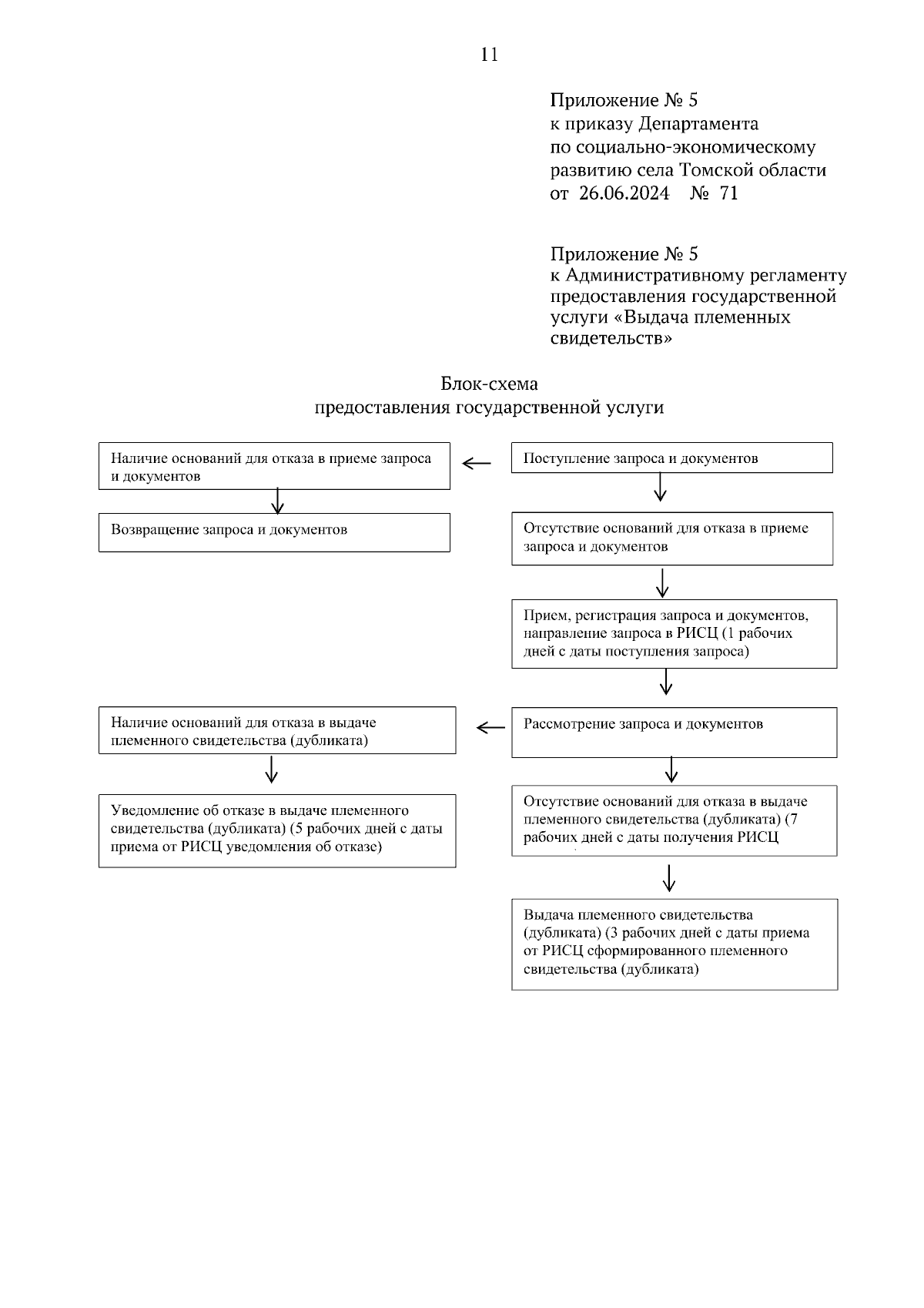
Приказ Департамента по социально-экономическому развитию села Томской области от 26.06.2024 № 71
"О внесении изменений в приказ Департамента по социально-экономическому развитию села Томской области от 28.03.2018 № 41"
(Зарегистрирован 28.06.2024 № 776-55/2024)
"О внесении изменений в приказ Департамента по социально-экономическому развитию села Томской области от 28.03.2018 № 41"
(Зарегистрирован 28.06.2024 № 776-55/2024)
Номер опубликования: 7001202407010031
Дата опубликования:
01.07.2024
