Официальное опубликование правовых актов
ОФИЦИАЛЬНОЕ ОПУБЛИКОВАНИЕ
Приказ Департамента ЖКХ и государственного жилищного надзора Томской области от 28.11.2023 № 42
"О внесении изменения в приказ Департамента ЖКХ и государственного жилищного надзора Томской области от 16.06.2022 № 40"
(Зарегистрирован 01.12.2023 № 1165-71/2023)
Номер опубликования: 7001202312040002
Дата опубликования: 04.12.2023
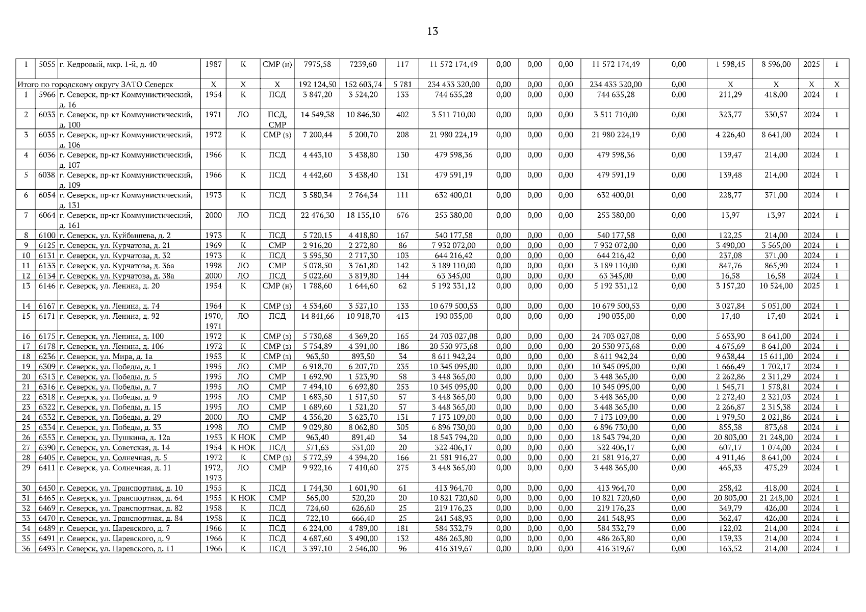
Страница №13 из 180:
Увеличить