Официальное опубликование правовых актов
ОФИЦИАЛЬНОЕ ОПУБЛИКОВАНИЕ
Приказ Департамента тарифного регулирования Томской области от 14.11.2023 № 1-573/9(144)
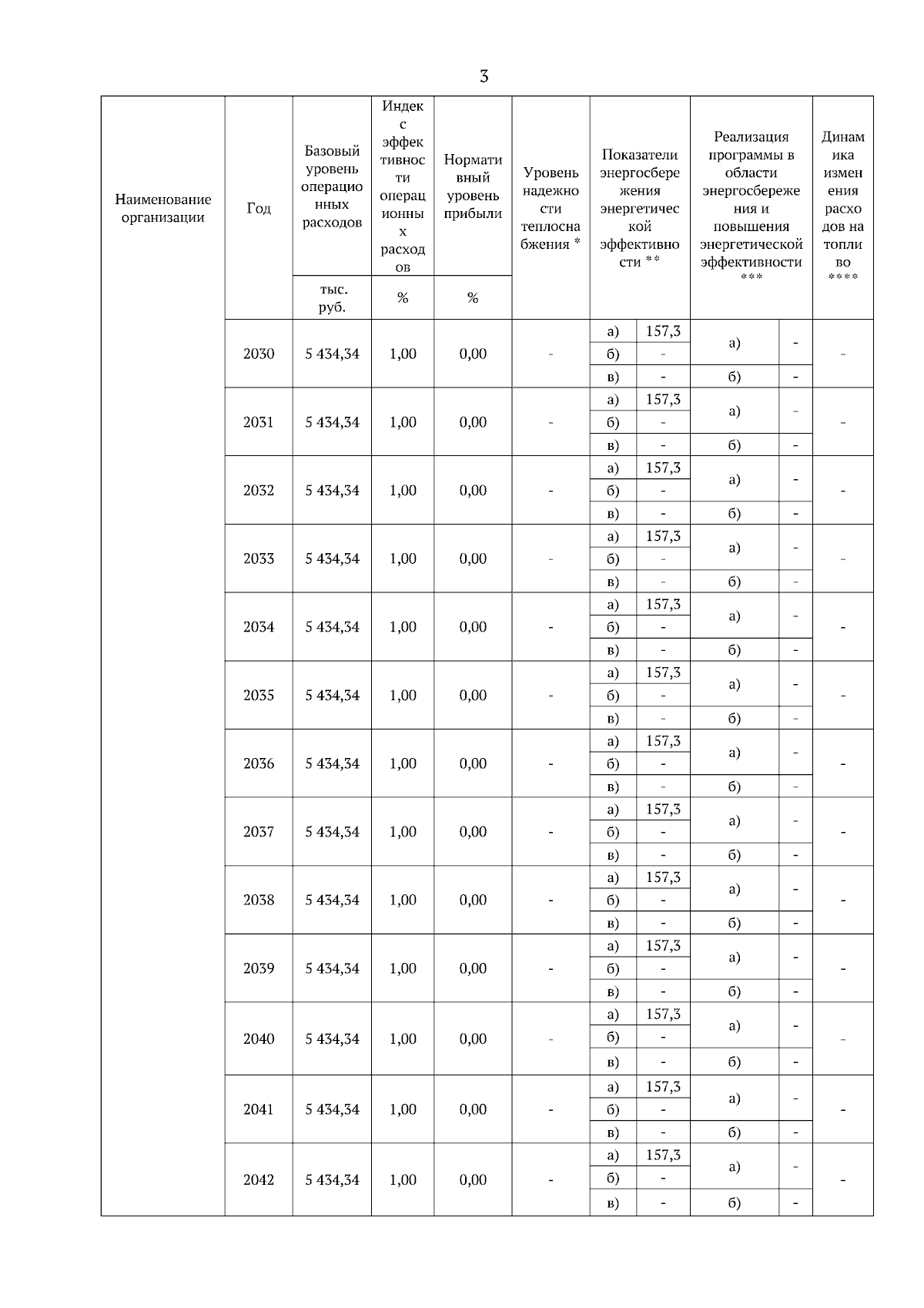
"Об установлении долгосрочных параметров регулирования и тарифов на тепловую энергию теплоснабжающей организации общество с ограниченной ответственностью "ТЭП Первомайское" (ИНН 7017488332) на 2023 - 2046 годы"
(Зарегистрирован 16.11.2023 № 1092-53/2023)
Номер опубликования: 7001202311210007
Дата опубликования: 21.11.2023
Страница №3 из 6:
Увеличить