Официальное опубликование правовых актов
ОФИЦИАЛЬНОЕ ОПУБЛИКОВАНИЕ
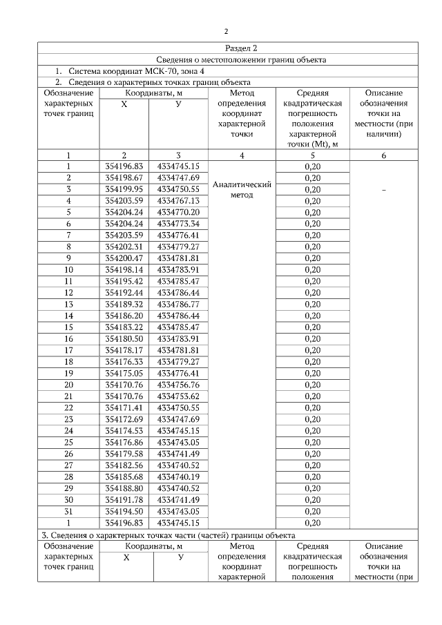
Приказ Департамента природных ресурсов и охраны окружающей среды Томской области от 17.04.2023 № 71
"Об установлении границ и режима зон санитарной охраны водозаборных скважин № 11-519/1, № 11-520, используемых для целей питьевого и хозяйственно-бытового водоснабжения объектов ООО "ЭнергоТЭК" (г. Томск, ул. В.Высоцкого, 33, стр. 14, 15)"
(Зарегистрирован 19.04.2023 № 416-63/2023)
Номер опубликования: 7001202304210001
Дата опубликования: 21.04.2023
Страница №7 из 15:
Увеличить