Официальное опубликование правовых актов
ОФИЦИАЛЬНОЕ ОПУБЛИКОВАНИЕ
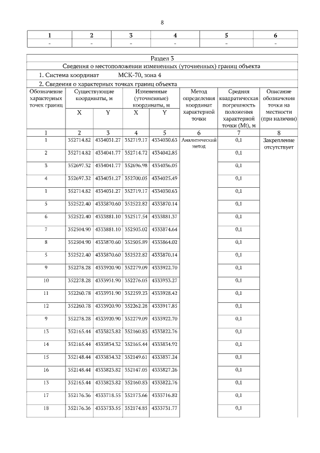
Приказ Департамента природных ресурсов и охраны окружающей среды Томской области от 10.03.2023 № 55
"О внесении изменений в приказ Департамента природных ресурсов и охраны окружающей среды Томской области от 12.02.2015 № 43"
(Зарегистрирован 10.03.2023 № 250-63/2023)
Номер опубликования: 7001202303130005
Дата опубликования: 13.03.2023
Страница №8 из 31:
Увеличить