Официальное опубликование правовых актов
ОФИЦИАЛЬНОЕ ОПУБЛИКОВАНИЕ
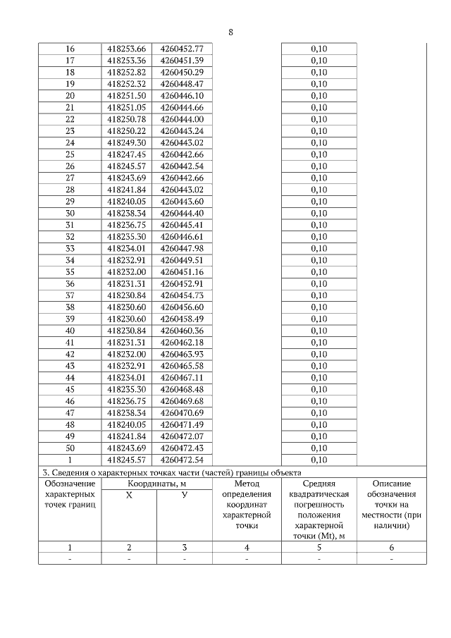
Приказ Департамента природных ресурсов и охраны окружающей среды Томской области от 28.02.2023 № 49
"Об установлении границ и режима зон санитарной охраны водозаборной скважины № 19/94, используемой для целей питьевого и хозяйственно-бытового водоснабжения населения и организаций с. Володино (Томская область, Кривошеинский район, с. Володино, ул. Сибирская, 3)"
(Зарегистрирован 01.03.2023 № 207-63/2023)
Номер опубликования: 7001202303030004
Дата опубликования: 03.03.2023
Страница №8 из 20:
Увеличить