Официальное опубликование правовых актов
ОФИЦИАЛЬНОЕ ОПУБЛИКОВАНИЕ
Приказ Департамента природных ресурсов и охраны окружающей среды Томской области от 18.01.2023 № 10
"О внесении изменений в приказ Департамента природных ресурсов и охраны окружающей среды Томской области от 22.02.2012 № 72"
(Зарегистрирован 19.01.2023 № 25-63/2023)
Номер опубликования: 7001202301230001
Дата опубликования: 23.01.2023
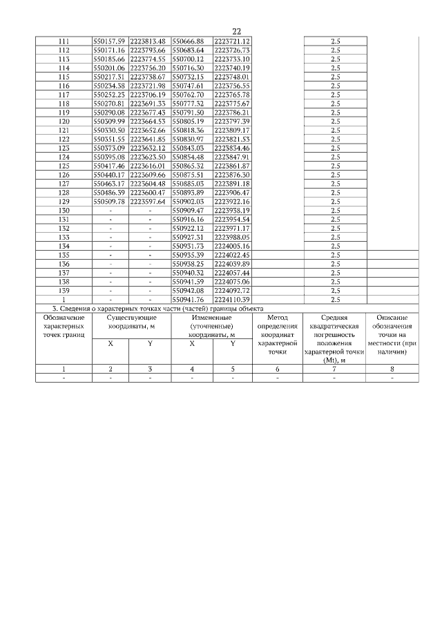
Страница №22 из 23:
Увеличить