Официальное опубликование правовых актов
ОФИЦИАЛЬНОЕ ОПУБЛИКОВАНИЕ
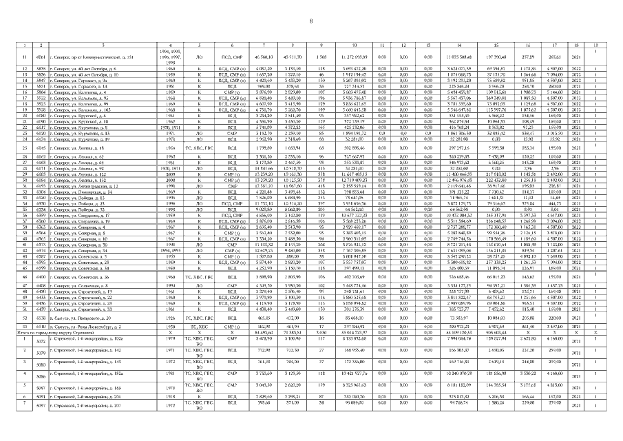
Приказ Департамента ЖКХ и государственного жилищного надзора Томской области от 29.12.2022 № 61
"О внесении изменения в приказ Департамента ЖКХ и государственного жилищного надзора Томской области от 02.04.2019 № 20"
Номер опубликования: 7001202212290023
Дата опубликования: 29.12.2022
Страница №8 из 74:
Увеличить