Официальное опубликование правовых актов
ОФИЦИАЛЬНОЕ ОПУБЛИКОВАНИЕ
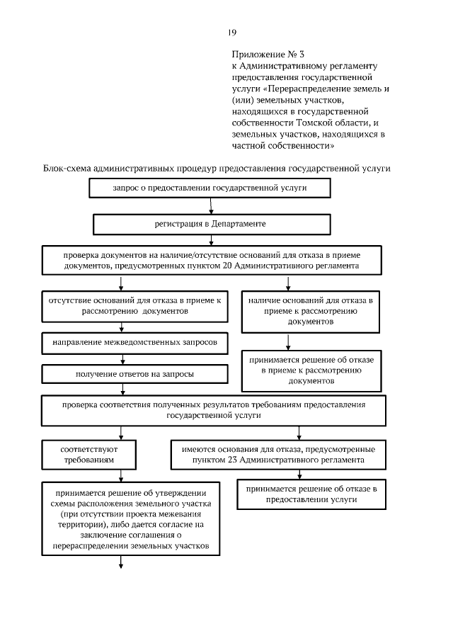
Приказ Департамента по управлению государственной собственностью Томской области от 23.12.2022 № 50
"Об утверждении Административного регламента предоставления государственной услуги "Перераспределение земель и (или) земельных участков, находящихся в государственной собственности Томской области, и земельных участков, находящихся в частной собственности"
Номер опубликования: 7001202212260022
Дата опубликования: 26.12.2022
Страница №19 из 20:
Увеличить