Официальное опубликование правовых актов
ОФИЦИАЛЬНОЕ ОПУБЛИКОВАНИЕ
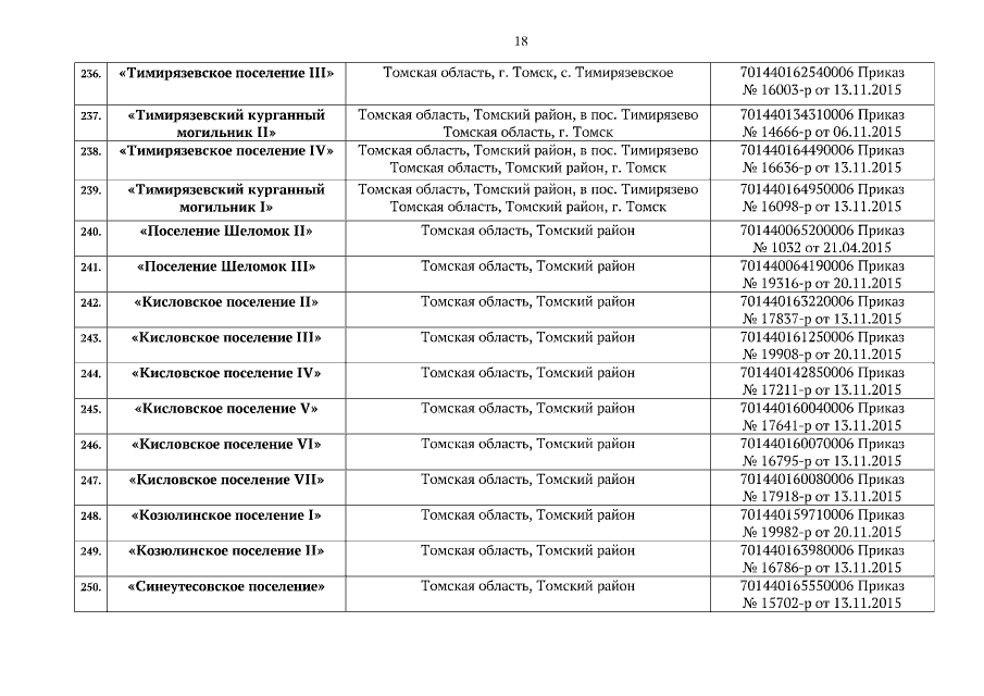
Приказ Комитета по охране объектов культурного наследия Томской области от 28.10.2022 № 0178/01-07
"О внесении изменения в приказ Комитета по охране объектов культурного наследия Томской области от 09.03.2021 № 0015/01-07"
Номер опубликования: 7001202210310002
Дата опубликования: 31.10.2022
Страница №18 из 21:
Увеличить